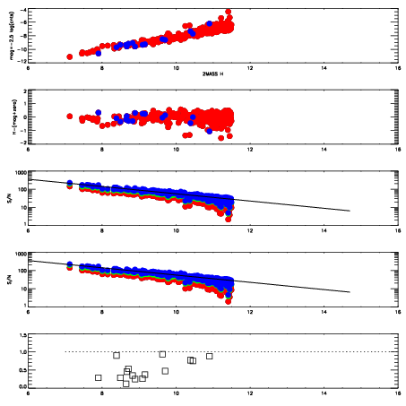
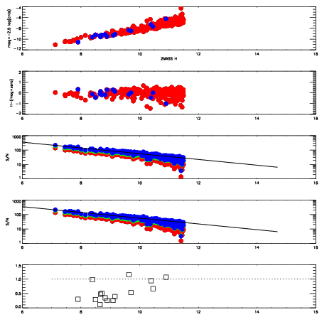
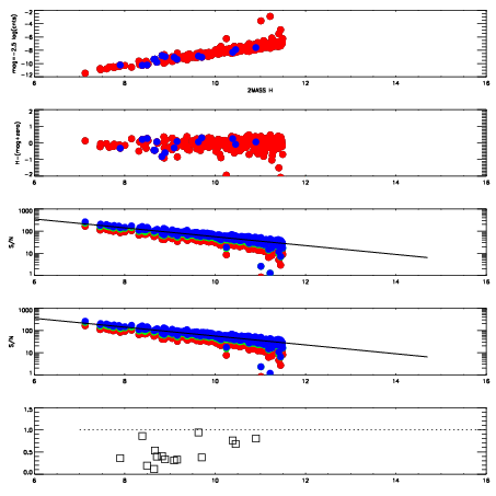
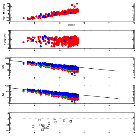
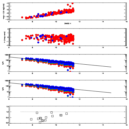
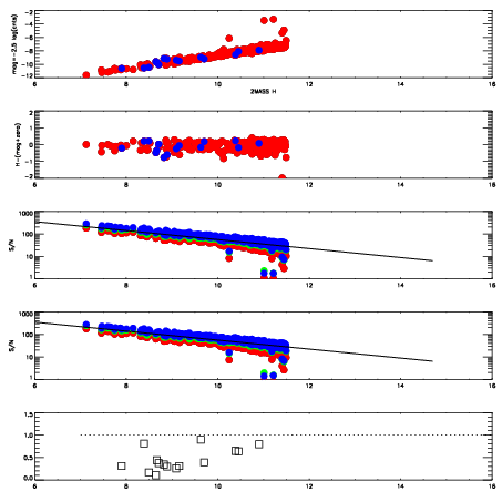
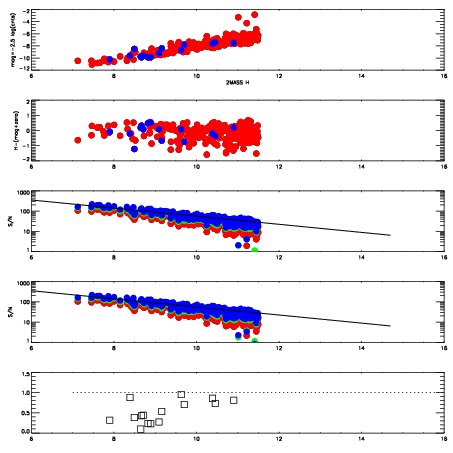
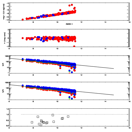
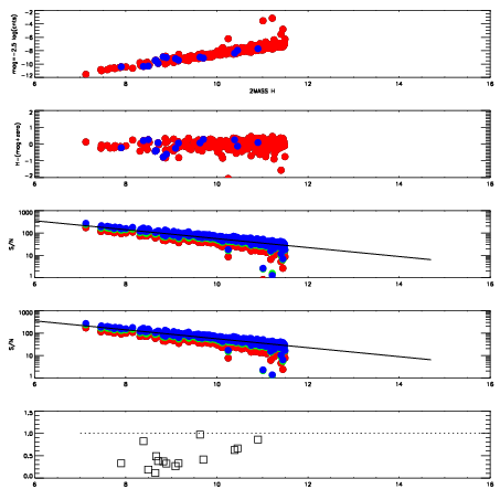
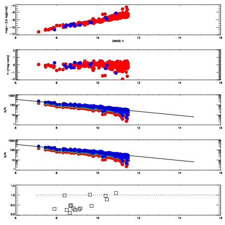
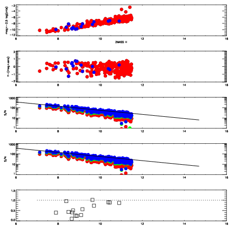
Frame | Nreads | Zeropoints | Mag plots
| Spatial mag deviation
| Spatial sky 16325A emission deviations (filled: sky, open: star)
| Spatial sky continuum emission
| Spatial sky telluric CO2 absorption deviations (filled: H < 10)
|
18650035
| 42
| | Red | Green | Blue
| z | | 17.94
| znorm | | 13.88
| sky | 14.9 | 14.5 | 15.1
| S/N | 7.0 | 13.2 | 14.7
| S/N(c) | 7.7 | 6.3 | 7.7
| SN(E/C) | 0.50
|
|
|
|
|
|
|
18650036
| 42
| | Red | Green | Blue
| z | | 18.03
| znorm | | 13.97
| sky | 15.0 | 14.9 | 15.1
| S/N | 6.6 | 13.3 | 14.6
| S/N(c) | 7.8 | 6.3 | 7.8
| SN(E/C) | 0.48
|
|
|
|
|
|
|
18650037
| 42
| | Red | Green | Blue
| z | | 18.14
| znorm | | 14.08
| sky | 15.4 | 15.0 | 15.1
| S/N | 8.8 | 15.4 | 17.5
| S/N(c) | 8.8 | 7.0 | 8.5
| SN(E/C) | 0.47
|
|
|
|
|
|
|
18650038
| 42
| | Red | Green | Blue
| z | | 18.10
| znorm | | 14.04
| sky | 14.8 | 14.9 | 15.0
| S/N | 8.4 | 15.1 | 17.4
| S/N(c) | 8.6 | 6.9 | 8.5
| SN(E/C) | 0.48
|
|
|
|
|
|
|
18650039
| 42
| | Red | Green | Blue
| z | | 18.66
| znorm | | 14.60
| sky | 15.3 | 15.1 | 14.9
| S/N | 13.0 | 21.8 | 24.6
| S/N(c) | 12.4 | 9.3 | 11.4
| SN(E/C) | 0.38
|
|
|
|
|
|
|
18650040
| 42
| | Red | Green | Blue
| z | | 18.72
| znorm | | 14.66
| sky | 14.9 | 14.8 | 15.1
| S/N | 13.4 | 22.4 | 25.2
| S/N(c) | 12.8 | 9.6 | 11.7
| SN(E/C) | 0.37
|
|
|
|
|
|
|
18650041
| 42
| | Red | Green | Blue
| z | | 18.22
| znorm | | 14.16
| sky | 14.9 | 15.1 | 14.9
| S/N | 8.4 | 15.3 | 16.7
| S/N(c) | 8.8 | 7.1 | 8.7
| SN(E/C) | 0.44
|
|
|
|
|
|
|
18650042
| 42
| | Red | Green | Blue
| z | | 18.27
| znorm | | 14.21
| sky | 15.5 | 15.0 | 14.9
| S/N | 8.6 | 15.9 | 17.5
| S/N(c) | 9.1 | 7.3 | 8.9
| SN(E/C) | 0.45
|
|
|
|
|
|
|
18650043
| 42
| | Red | Green | Blue
| z | | 18.19
| znorm | | 14.13
| sky | 15.2 | 15.3 | 15.1
| S/N | 8.7 | 16.1 | 17.8
| S/N(c) | 9.0 | 7.1 | 8.8
| SN(E/C) | 0.45
|
|
|
|
|
|
|
18650044
| 42
| | Red | Green | Blue
| z | | 18.26
| znorm | | 14.20
| sky | 14.6 | 15.1 | 15.0
| S/N | 9.7 | 16.8 | 18.8
| S/N(c) | 9.5 | 7.5 | 9.2
| SN(E/C) | 0.46
|
|
|
|
|
|
|
18650045
| 42
| | Red | Green | Blue
| z | | 18.53
| znorm | | 14.47
| sky | 15.2 | 15.1 | 14.9
| S/N | 11.7 | 20.0 | 22.5
| S/N(c) | 11.2 | 8.7 | 10.6
| SN(E/C) | 0.38
|
|
|
|
|
|
|
18650046
| 42
| | Red | Green | Blue
| z | | 18.44
| znorm | | 14.38
| sky | 15.1 | 14.9 | 14.9
| S/N | 10.9 | 19.2 | 21.9
| S/N(c) | 10.7 | 8.2 | 10.0
| SN(E/C) | 0.40
|
|
|
|
|
|
|