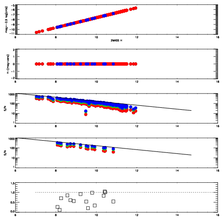
Left plots: red are targets, blue are telluric. Observed mags are calculated from median value of green chip. Zeropoint gives overall throughput: bigger number is more throughput.
First spatial plots: circles are objects, squares are tellurics, crosses are sky fibers. Colors give deviation of observed mag from expected 2MASS mag using the median zeropoint; red is brighter
Second spatial plots: circles are sky fibers. Colors give sky line brightness relative to plate median sky line brightness
FrameNreadsZeropointsMag plots Spatial mag deviation Spatial sky 16325A emission deviations (filled: sky, open: star) Spatial sky continuum emission Spatial sky telluric CO2 absorption deviations (filled: H < 10)
0 0
RedGreenBlue
z17.64
znorm Inf
sky -NaN -NaN -NaN
S/N 15.4 30.5 31.7
S/N(c) 0.0 0.0 0.0
SN(E/C) 0.60

IPAIRNAMESHIFTNEWSHIFTS/N NAMESHIFTNEWSHIFTS/N
0 18030028 0.515188 0.00000 16.3317 18030026 0.00332476 0.511863 16.7127
1 18030016 0.510260 0.00492799 18.4419 18030015 0.00111204 0.514076 18.5124
2 18030021 0.511248 0.00393999 18.0627 18030018 0.00262840 0.512560 17.7321
3 18030020 0.510635 0.00455296 17.8450 18030014 0.00123155 0.513956 17.7099
4 18030013 0.511061 0.00412697 17.7980 18030019 0.00239159 0.512796 17.7051
5 18030017 0.510898 0.00428998 17.7734 18030022 0.00350973 0.511678 17.5992
6 18030012 0.510656 0.00453198 17.5785 18030011 0.00000 0.515188 17.5644
7 18030024 0.512379 0.00280899 17.3560 18030023 0.00281503 0.512373 17.5104
8 18030025 0.513479 0.00170898 16.8578 18030027 0.00298961 0.512198 16.9318