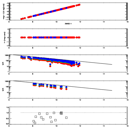
Left plots: red are targets, blue are telluric. Observed mags are calculated from median value of green chip. Zeropoint gives overall throughput: bigger number is more throughput.
First spatial plots: circles are objects, squares are tellurics, crosses are sky fibers. Colors give deviation of observed mag from expected 2MASS mag using the median zeropoint; red is brighter
Second spatial plots: circles are sky fibers. Colors give sky line brightness relative to plate median sky line brightness
FrameNreadsZeropointsMag plots Spatial mag deviation Spatial sky 16325A emission deviations (filled: sky, open: star) Spatial sky continuum emission Spatial sky telluric CO2 absorption deviations (filled: H < 10)
0 0
RedGreenBlue
z17.64
znorm Inf
sky -Inf -NaN -NaN
S/N 15.2 31.0 31.4
S/N(c) 0.0 0.0 0.0
SN(E/C) 0.60

IPAIRNAMESHIFTNEWSHIFTS/N NAMESHIFTNEWSHIFTS/N
0 18040015 0.510205 0.00000 16.1425 18040016 -0.000566578 0.510772 15.9366
1 18040034 0.509929 0.000275970 17.8212 18040029 0.00246143 0.507744 17.8239
2 18040035 0.509841 0.000363946 17.7243 18040033 0.00646136 0.503744 17.8148
3 18040030 0.508790 0.00141495 17.7060 18040036 0.00583217 0.504373 17.7780
4 18040031 0.509431 0.000773966 17.6590 18040032 0.00637519 0.503830 17.7480
5 18040026 0.506887 0.00331795 17.6030 18040025 -0.000836190 0.511041 17.4459
6 18040027 0.507915 0.00228995 17.4060 18040024 -0.000834763 0.511040 17.4372
7 18040022 0.504578 0.00562698 17.3086 18040028 0.00203579 0.508169 17.3951
8 18040023 0.505768 0.00443697 17.2427 18040020 0.000158769 0.510046 17.3730
9 18040019 0.504459 0.00574595 17.1365 18040021 0.000179070 0.510026 17.1895
10 18040018 0.503779 0.00642598 16.9977 18040017 -0.000959239 0.511164 16.9711