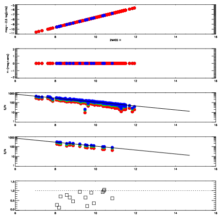
Left plots: red are targets, blue are telluric. Observed mags are calculated from median value of green chip. Zeropoint gives overall throughput: bigger number is more throughput.
First spatial plots: circles are objects, squares are tellurics, crosses are sky fibers. Colors give deviation of observed mag from expected 2MASS mag using the median zeropoint; red is brighter
Second spatial plots: circles are sky fibers. Colors give sky line brightness relative to plate median sky line brightness
FrameNreadsZeropointsMag plots Spatial mag deviation Spatial sky 16325A emission deviations (filled: sky, open: star) Spatial sky continuum emission Spatial sky telluric CO2 absorption deviations (filled: H < 10)
0 0
RedGreenBlue
z17.64
znorm Inf
sky -NaN -NaN -NaN
S/N 16.9 31.8 34.4
S/N(c) 0.0 0.0 0.0
SN(E/C) 0.65

IPAIRNAMESHIFTNEWSHIFTS/N NAMESHIFTNEWSHIFTS/N
0 18050020 0.515074 0.00000 18.6554 18050021 0.00632047 0.508754 18.5574
1 18050019 0.513869 0.00120503 18.7664 18050018 0.00934971 0.505724 18.6538
2 18050016 0.514491 0.000582993 17.8844 18050017 0.00868524 0.506389 17.9485
3 18050015 0.513586 0.00148803 17.7201 18050014 0.00000 0.515074 17.6869