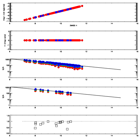
Left plots: red are targets, blue are telluric. Observed mags are calculated from median value of green chip. Zeropoint gives overall throughput: bigger number is more throughput.
First spatial plots: circles are objects, squares are tellurics, crosses are sky fibers. Colors give deviation of observed mag from expected 2MASS mag using the median zeropoint; red is brighter
Second spatial plots: circles are sky fibers. Colors give sky line brightness relative to plate median sky line brightness
FrameNreadsZeropointsMag plots Spatial mag deviation Spatial sky 16325A emission deviations (filled: sky, open: star) Spatial sky continuum emission Spatial sky telluric CO2 absorption deviations (filled: H < 10)
0 0
RedGreenBlue
z17.64
znorm Inf
sky -NaN -Inf -NaN
S/N 26.6 50.1 60.1
S/N(c) 0.0 0.0 0.0
SN(E/C) 0.90

IPAIRNAMESHIFTNEWSHIFTS/N NAMESHIFTNEWSHIFTS/N
0 18630051 0.502106 0.00000 18.0284 18630050 0.00290283 0.499203 18.0346
1 18630039 0.500496 0.00161004 18.3535 18630038 0.00137407 0.500732 18.4238
2 18630043 0.501403 0.000703037 18.3240 18630046 0.00122132 0.500885 18.3759
3 18630040 0.500283 0.00182301 18.3169 18630049 0.00288594 0.499220 18.3681
4 18630048 0.501311 0.000795007 18.2963 18630041 0.00246525 0.499641 18.2907
5 18630047 0.499898 0.00220802 18.2441 18630042 0.00296878 0.499137 18.2696
6 18630044 0.501589 0.000517011 18.1939 18630034 0.00000 0.502106 18.2304
7 18630036 0.501279 0.000827014 18.1300 18630037 0.00164334 0.500463 18.1601
8 18630035 0.500011 0.00209498 18.1010 18630045 0.00240892 0.499697 18.1200