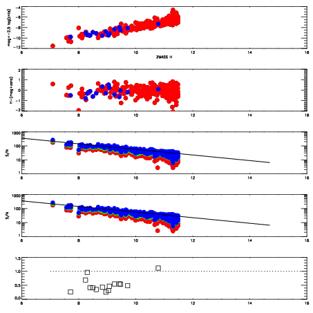
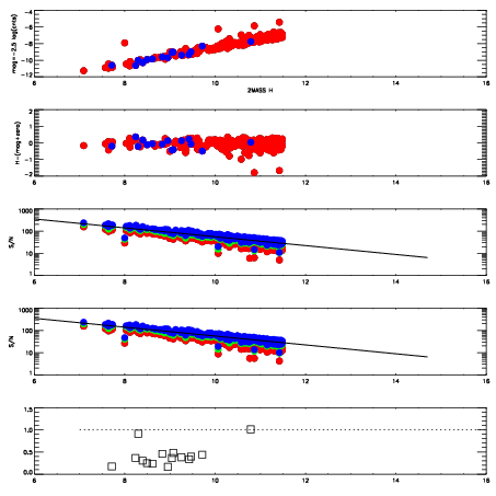
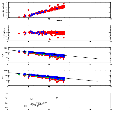
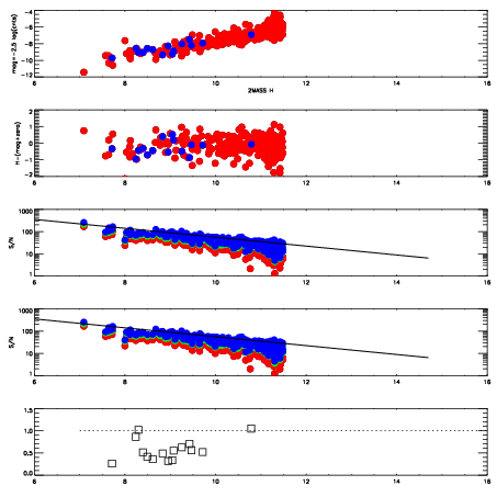
Frame | Nreads | Zeropoints | Mag plots
| Spatial mag deviation
| Spatial sky 16325A emission deviations (filled: sky, open: star)
| Spatial sky continuum emission
| Spatial sky telluric CO2 absorption deviations (filled: H < 10)
|
17760012
| 42
| | Red | Green | Blue
| z | | 18.23
| znorm | | 14.17
| sky | 14.7 | 14.6 | 14.3
| S/N | 10.0 | 17.3 | 19.6
| S/N(c) | 12.4 | 6.7 | 17.3
| SN(E/C) | 0.42
|
|
|
|
|
|
|
17760013
| 42
| | Red | Green | Blue
| z | | 18.51
| znorm | | 14.46
| sky | 14.9 | 14.8 | 14.6
| S/N | 12.0 | 20.0 | 23.5
| S/N(c) | 15.0 | 7.7 | 20.3
| SN(E/C) | 0.36
|
|
|
|
|
|
|
17760014
| 42
| | Red | Green | Blue
| z | | 18.16
| znorm | | 14.10
| sky | 15.1 | 15.0 | 14.9
| S/N | 8.6 | 15.6 | 17.3
| S/N(c) | 12.4 | 6.6 | 17.0
| SN(E/C) | 0.42
|
|
|
|
|
|
|
17760015
| 42
| | Red | Green | Blue
| z | | 18.23
| znorm | | 14.18
| sky | 15.0 | 15.2 | 14.7
| S/N | 9.1 | 16.6 | 18.5
| S/N(c) | 12.5 | 6.9 | 17.5
| SN(E/C) | 0.47
|
|
|
|
|
|
|
17760016
| 42
| | Red | Green | Blue
| z | | 18.01
| znorm | | 13.95
| sky | 14.8 | 15.1 | 14.8
| S/N | 7.6 | 14.0 | 16.1
| S/N(c) | 11.0 | 6.2 | 15.7
| SN(E/C) | 0.47
|
|
|
|
|
|
|
17760017
| 42
| | Red | Green | Blue
| z | | 17.90
| znorm | | 13.84
| sky | 15.1 | 15.1 | 14.9
| S/N | 7.2 | 13.1 | 15.0
| S/N(c) | 10.1 | 5.7 | 14.7
| SN(E/C) | 0.49
|
|
|
|
|
|
|
17760018
| 42
| | Red | Green | Blue
| z | | 17.88
| znorm | | 13.82
| sky | 15.1 | 15.2 | 15.0
| S/N | 7.1 | 12.8 | 14.6
| S/N(c) | 9.9 | 5.7 | 14.8
| SN(E/C) | 0.49
|
|
|
|
|
|
|
17760019
| 42
| | Red | Green | Blue
| z | | 17.77
| znorm | | 13.71
| sky | 15.3 | 15.1 | 14.8
| S/N | 6.4 | 12.0 | 13.7
| S/N(c) | 9.2 | 5.4 | 13.5
| SN(E/C) | 0.52
|
|
|
|
|
|
|