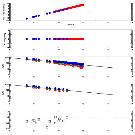
Left plots: red are targets, blue are telluric. Observed mags are calculated from median value of green chip. Zeropoint gives overall throughput: bigger number is more throughput.
First spatial plots: circles are objects, squares are tellurics, crosses are sky fibers. Colors give deviation of observed mag from expected 2MASS mag using the median zeropoint; red is brighter
Second spatial plots: circles are sky fibers. Colors give sky line brightness relative to plate median sky line brightness
FrameNreadsZeropointsMag plots Spatial mag deviation Spatial sky 16325A emission deviations (filled: sky, open: star) Spatial sky continuum emission Spatial sky telluric CO2 absorption deviations (filled: H < 10)
0 0
RedGreenBlue
z17.64
znorm Inf
sky -Inf -Inf -Inf
S/N 26.7 47.3 54.4
S/N(c) 0.0 0.0 0.0
SN(E/C) 0.69

IPAIRNAMESHIFTNEWSHIFTS/N NAMESHIFTNEWSHIFTS/N
0 17960028 0.507277 0.00000 18.8948 17960029 0.00116936 0.506108 18.8433
1 17960024 0.506306 0.000971019 19.0459 17960022 0.00000 0.507277 18.9955
2 17960023 0.505413 0.00186402 19.0180 17960025 0.00227720 0.505000 18.9541
3 17960027 0.505755 0.00152200 18.9516 17960026 0.00185321 0.505424 18.9513