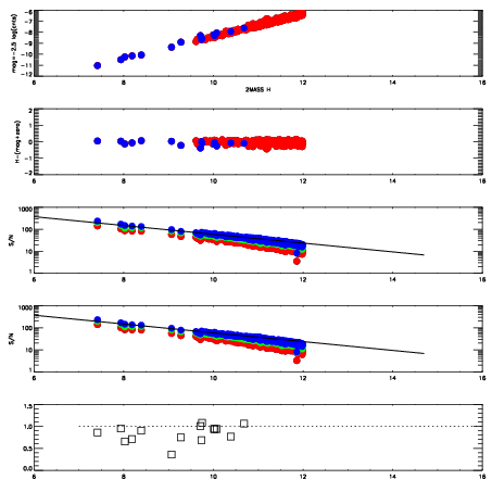
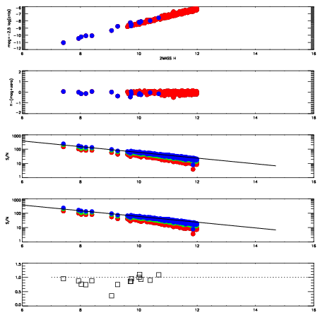
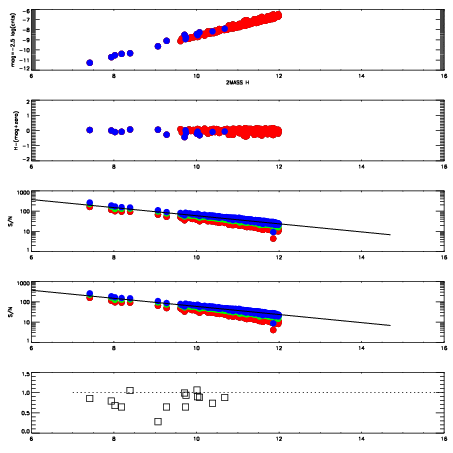
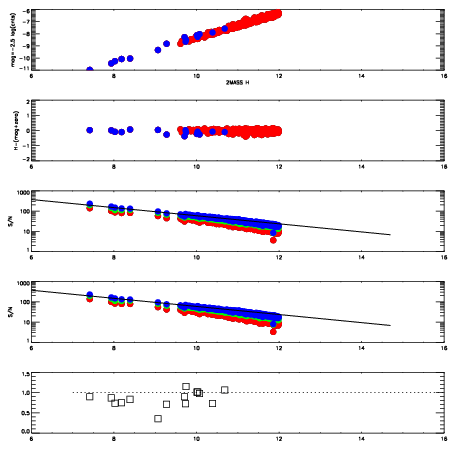
Frame | Nreads | Zeropoints | Mag plots
| Spatial mag deviation
| Spatial sky 16325A emission deviations (filled: sky, open: star)
| Spatial sky continuum emission
| Spatial sky telluric CO2 absorption deviations (filled: H < 10)
|
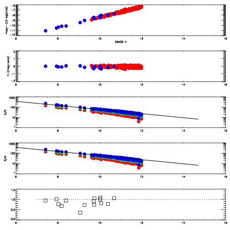
18440033
| 47
| | Red | Green | Blue
| z | | 18.38
| znorm | | 14.20
| sky | 13.4 | 13.4 | 13.3
| S/N | 9.4 | 15.9 | 18.5
| S/N(c) | 11.3 | 15.8 | 17.7
| SN(E/C) | 0.88
|
|
|
|
|
|
|
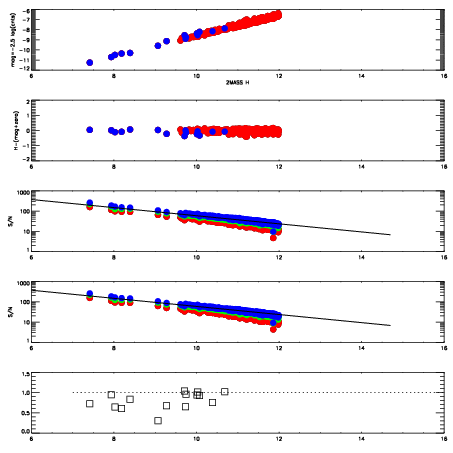
18440034
| 47
| | Red | Green | Blue
| z | | 18.36
| znorm | | 14.18
| sky | 13.5 | 13.4 | 13.3
| S/N | 9.2 | 15.9 | 18.4
| S/N(c) | 11.0 | 15.5 | 17.6
| SN(E/C) | 0.87
|
|
|
|
|
|
|
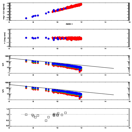
18440035
| 47
| | Red | Green | Blue
| z | | 18.40
| znorm | | 14.22
| sky | 13.5 | 13.4 | 13.3
| S/N | 9.4 | 16.1 | 18.8
| S/N(c) | 11.3 | 15.7 | 17.6
| SN(E/C) | 0.90
|
|
|
|
|
|
|
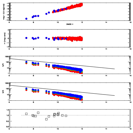
18440036
| 47
| | Red | Green | Blue
| z | | 18.65
| znorm | | 14.47
| sky | 13.8 | 13.8 | 13.9
| S/N | 11.9 | 19.8 | 23.1
| S/N(c) | 13.6 | 18.9 | 21.2
| SN(E/C) | 0.85
|
|
|
|
|
|
|
18440037
| 47
| | Red | Green | Blue
| z | | 17.63
| znorm | | 13.45
| sky | 12.8 | 12.8 | 12.7
| S/N | 4.7 | 8.3 | 9.7
| S/N(c) | 6.0 | 8.7 | 10.0
| SN(E/C) | 0.95
|
|
|
|
|
|
|
18440038
| 47
| | Red | Green | Blue
| z | | 16.69
| znorm | | 12.51
| sky | 12.6 | 12.6 | 12.5
| S/N | 1.9 | 3.6 | 4.3
| S/N(c) | 2.6 | 4.0 | 4.5
| SN(E/C) | 0.99
|
|
|
|
|
|
|
18440039
| 47
| | Red | Green | Blue
| z | | 18.62
| znorm | | 14.44
| sky | 13.6 | 13.5 | 13.4
| S/N | 11.3 | 18.9 | 22.1
| S/N(c) | 13.3 | 18.2 | 20.6
| SN(E/C) | 0.83
|
|
|
|
|
|
|
18440040
| 47
| | Red | Green | Blue
| z | | 18.46
| znorm | | 14.28
| sky | 13.3 | 13.3 | 13.3
| S/N | 9.6 | 16.7 | 19.5
| S/N(c) | 11.5 | 16.2 | 18.5
| SN(E/C) | 0.90
|
|
|
|
|
|
|