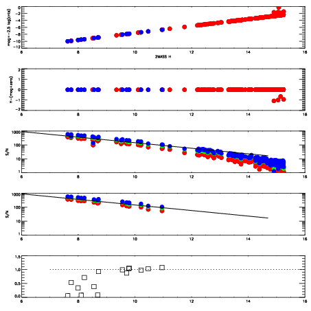
Left plots: red are targets, blue are telluric. Observed mags are calculated from median value of green chip. Zeropoint gives overall throughput: bigger number is more throughput.
First spatial plots: circles are objects, squares are tellurics, crosses are sky fibers. Colors give deviation of observed mag from expected 2MASS mag using the median zeropoint; red is brighter
Second spatial plots: circles are sky fibers. Colors give sky line brightness relative to plate median sky line brightness
FrameNreadsZeropointsMag plots Spatial mag deviation Spatial sky 16325A emission deviations (filled: sky, open: star) Spatial sky continuum emission Spatial sky telluric CO2 absorption deviations (filled: H < 10)
0 0
RedGreenBlue
z17.65
znorm Inf
sky -Inf -Inf -NaN
S/N 22.1 38.4 43.1
S/N(c) 30.6 15.9 60.4
SN(E/C) 0.87

IPAIRNAMESHIFTNEWSHIFTS/N NAMESHIFTNEWSHIFTS/N
0 18470043 0.501613 0.00000 18.5766 18470044 0.00776171 0.493851 18.5898
1 18470034 0.500648 0.000964999 18.9823 18470033 0.00000 0.501613 19.0090
2 18470035 0.500971 0.000642002 18.9565 18470037 0.00219574 0.499417 18.9679
3 18470038 0.501190 0.000423014 18.8382 18470036 0.00154911 0.500064 18.9203
4 18470039 0.501483 0.000129998 18.7602 18470040 0.00322312 0.498390 18.7667
5 18470042 0.500555 0.00105804 18.7271 18470041 0.00252738 0.499086 18.7484