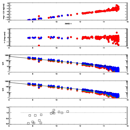
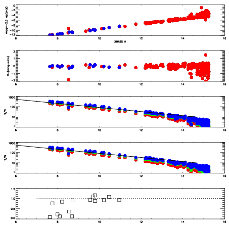
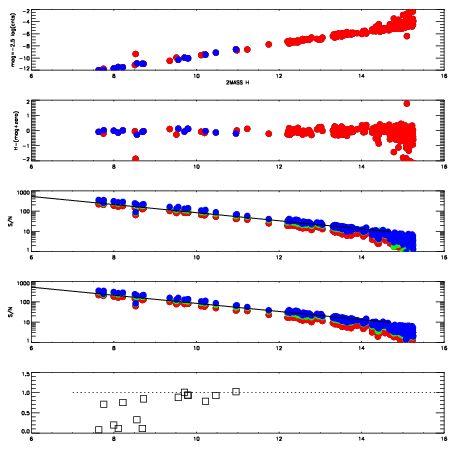
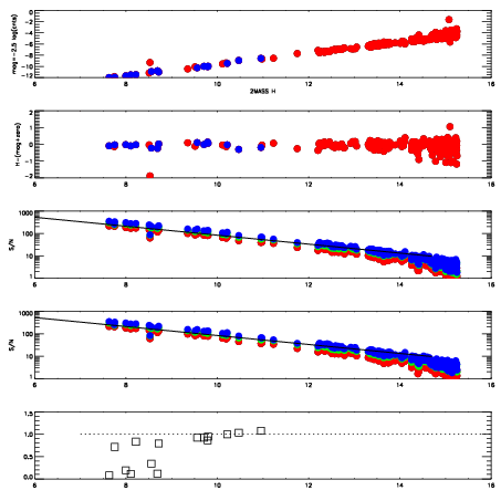
Left plots: red are targets, blue are telluric. Observed mags are calculated from median value of green chip. Zeropoint gives overall throughput: bigger number is more throughput.
First spatial plots: circles are objects, squares are tellurics, crosses are sky fibers. Colors give deviation of observed mag from expected 2MASS mag using the median zeropoint; red is brighter
Second spatial plots: circles are sky fibers. Colors give sky line brightness relative to plate median sky line brightness
FrameNreadsZeropointsMag plots Spatial mag deviation Spatial sky 16325A emission deviations (filled: sky, open: star) Spatial sky continuum emission Spatial sky telluric CO2 absorption deviations (filled: H < 10)
18480022 94
RedGreenBlue
z19.71
znorm14.78
sky 14.1 13.9 13.8
S/N 20.3 28.9 33.1
S/N(c) 43.9 20.2 72.9
SN(E/C) 0.78
18480023 94
RedGreenBlue
z19.54
znorm14.60
sky 13.6 13.4 13.2
S/N 17.2 24.9 28.5
S/N(c) 40.2 18.9 68.3
SN(E/C) 0.88
18480024 94
RedGreenBlue
z19.65
znorm14.72
sky 13.8 13.7 13.5
S/N 18.4 26.7 30.6
S/N(c) 43.1 20.2 73.5
SN(E/C) 0.82
18480025 94
RedGreenBlue
z19.70
znorm14.76
sky 14.2 14.1 13.9
S/N 19.2 28.0 32.0
S/N(c) 44.4 20.9 75.2
SN(E/C) 0.83