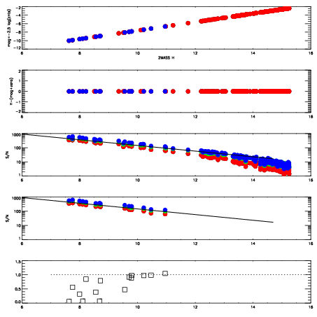
Left plots: red are targets, blue are telluric. Observed mags are calculated from median value of green chip. Zeropoint gives overall throughput: bigger number is more throughput.
First spatial plots: circles are objects, squares are tellurics, crosses are sky fibers. Colors give deviation of observed mag from expected 2MASS mag using the median zeropoint; red is brighter
Second spatial plots: circles are sky fibers. Colors give sky line brightness relative to plate median sky line brightness
FrameNreadsZeropointsMag plots Spatial mag deviation Spatial sky 16325A emission deviations (filled: sky, open: star) Spatial sky continuum emission Spatial sky telluric CO2 absorption deviations (filled: H < 10)
0 0
RedGreenBlue
z17.64
znorm Inf
sky -Inf -NaN -NaN
S/N 30.8 52.4 58.5
S/N(c) 18.9 87.1 99.3
SN(E/C) 0.79

IPAIRNAMESHIFTNEWSHIFTS/N NAMESHIFTNEWSHIFTS/N
0 18530021 0.496059 0.00000 18.8489 18530014 -0.00109799 0.497157 18.9250
1 18530012 0.494125 0.00193399 18.8841 18530022 0.00403451 0.492024 18.9825
2 18530017 0.495136 0.000923008 18.8098 18530011 0.00000 0.496059 18.9074
3 18530020 0.495080 0.000979006 18.8029 18530015 -0.000913665 0.496973 18.8017
4 18530013 0.494198 0.00186101 18.7916 18530018 0.00132802 0.494731 18.7884
5 18530016 0.494885 0.00117400 18.7627 18530019 0.00189627 0.494163 18.7830