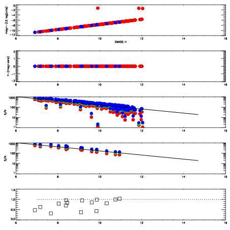
Left plots: red are targets, blue are telluric. Observed mags are calculated from median value of green chip. Zeropoint gives overall throughput: bigger number is more throughput.
First spatial plots: circles are objects, squares are tellurics, crosses are sky fibers. Colors give deviation of observed mag from expected 2MASS mag using the median zeropoint; red is brighter
Second spatial plots: circles are sky fibers. Colors give sky line brightness relative to plate median sky line brightness
FrameNreadsZeropointsMag plots Spatial mag deviation Spatial sky 16325A emission deviations (filled: sky, open: star) Spatial sky continuum emission Spatial sky telluric CO2 absorption deviations (filled: H < 10)
0 0
RedGreenBlue
z17.64
znorm Inf
sky -Inf -Inf -NaN
S/N 19.9 40.4 41.9
S/N(c) 0.0 0.0 0.0
SN(E/C) 0.80

IPAIRNAMESHIFTNEWSHIFTS/N NAMESHIFTNEWSHIFTS/N
0 17940030 0.507398 0.00000 18.8033 17940031 0.00206291 0.505335 18.7016
1 17940026 0.506785 0.000613034 18.9115 17940032 0.00157579 0.505822 18.9234
2 17940034 0.507303 9.50098e-05 18.9050 17940024 0.00104056 0.506357 18.8883
3 17940025 0.507150 0.000248015 18.8851 17940028 0.00123723 0.506161 18.8882
4 17940033 0.507111 0.000286996 18.8713 17940020 0.00000 0.507398 18.8814
5 17940029 0.506915 0.000483036 18.8642 17940027 0.00160530 0.505793 18.8562
6 17940021 0.506249 0.00114900 18.8518 17940023 0.00154394 0.505854 18.8276
7 17940022 0.507113 0.000285029 18.8470 17940035 0.00578647 0.501612 18.7330