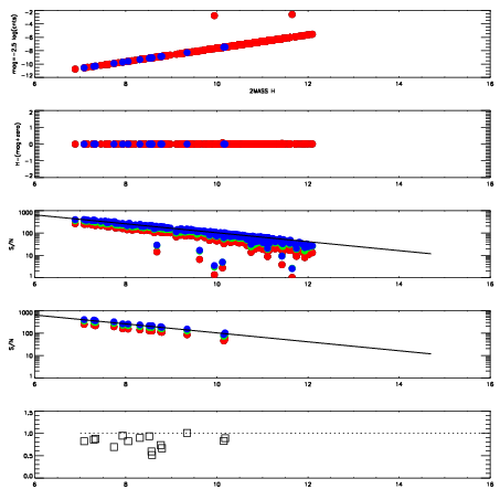
Left plots: red are targets, blue are telluric. Observed mags are calculated from median value of green chip. Zeropoint gives overall throughput: bigger number is more throughput.
First spatial plots: circles are objects, squares are tellurics, crosses are sky fibers. Colors give deviation of observed mag from expected 2MASS mag using the median zeropoint; red is brighter
Second spatial plots: circles are sky fibers. Colors give sky line brightness relative to plate median sky line brightness
FrameNreadsZeropointsMag plots Spatial mag deviation Spatial sky 16325A emission deviations (filled: sky, open: star) Spatial sky continuum emission Spatial sky telluric CO2 absorption deviations (filled: H < 10)
0 0
RedGreenBlue
z17.64
znorm Inf
sky -Inf -Inf -Inf
S/N 12.9 25.3 27.0
S/N(c) 0.0 0.0 0.0
SN(E/C) 0.83

IPAIRNAMESHIFTNEWSHIFTS/N NAMESHIFTNEWSHIFTS/N
0 17830021 0.510182 0.00000 18.2929 17830022 0.00169833 0.508484 18.3621
1 17830024 0.509661 0.000521004 18.3757 17830023 0.00150956 0.508672 18.4237
2 17830020 0.509674 0.000508010 18.2412 17830019 0.00000 0.510182 18.1830