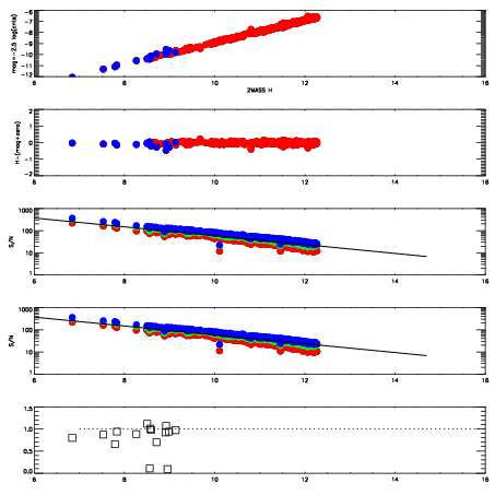
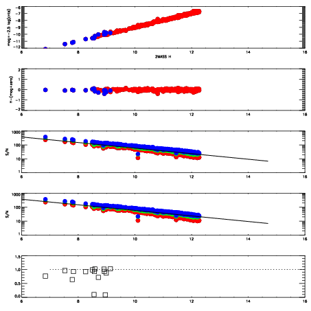
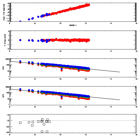
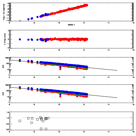
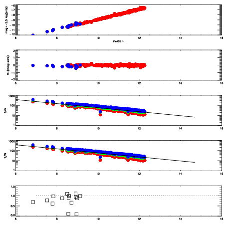
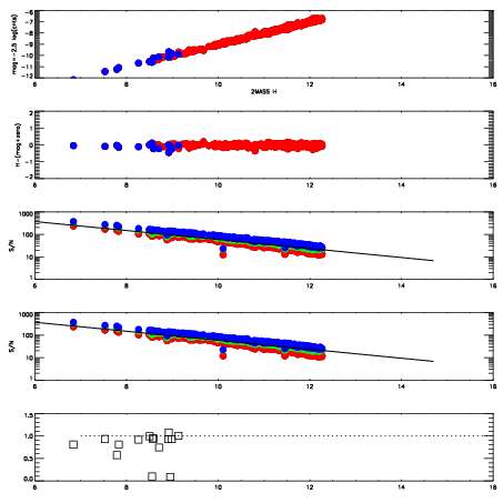
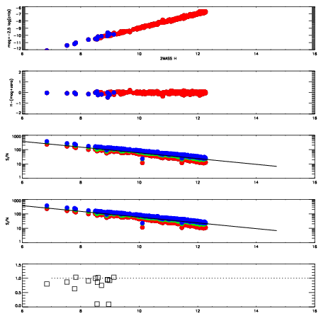
Frame | Nreads | Zeropoints | Mag plots
| Spatial mag deviation
| Spatial sky 16325A emission deviations (filled: sky, open: star)
| Spatial sky continuum emission
| Spatial sky telluric CO2 absorption deviations (filled: H < 10)
|
18150055
| 47
| | Red | Green | Blue
| z | | 18.89
| znorm | | 14.71
| sky | 14.8 | 14.5 | 14.6
| S/N | 14.1 | 23.3 | 27.9
| S/N(c) | 18.7 | 27.4 | 20.7
| SN(E/C) | 0.90
|
|
|
|
|
|
|
18150056
| 47
| | Red | Green | Blue
| z | | 18.94
| znorm | | 14.76
| sky | 14.8 | 14.6 | 14.7
| S/N | 14.4 | 23.8 | 28.3
| S/N(c) | 19.1 | 27.9 | 20.8
| SN(E/C) | 0.89
|
|
|
|
|
|
|
18150057
| 47
| | Red | Green | Blue
| z | | 18.92
| znorm | | 14.74
| sky | 14.7 | 14.7 | 14.6
| S/N | 14.2 | 23.7 | 28.2
| S/N(c) | 18.8 | 27.6 | 20.7
| SN(E/C) | 0.92
|
|
|
|
|
|
|
18150058
| 47
| | Red | Green | Blue
| z | | 19.00
| znorm | | 14.82
| sky | 14.9 | 14.7 | 14.7
| S/N | 15.0 | 24.6 | 29.1
| S/N(c) | 19.6 | 28.8 | 21.5
| SN(E/C) | 0.91
|
|
|
|
|
|
|
18150059
| 47
| | Red | Green | Blue
| z | | 19.03
| znorm | | 14.85
| sky | 15.0 | 14.7 | 14.5
| S/N | 15.2 | 24.9 | 29.5
| S/N(c) | 19.8 | 29.0 | 21.6
| SN(E/C) | 0.90
|
|
|
|
|
|
|
18150060
| 47
| | Red | Green | Blue
| z | | 19.05
| znorm | | 14.87
| sky | 14.6 | 14.5 | 14.7
| S/N | 15.3 | 25.4 | 30.1
| S/N(c) | 20.2 | 29.5 | 21.9
| SN(E/C) | 0.93
|
|
|
|
|
|
|
18150061
| 47
| | Red | Green | Blue
| z | | 19.07
| znorm | | 14.89
| sky | 14.5 | 14.6 | 14.5
| S/N | 15.6 | 25.2 | 30.3
| S/N(c) | 20.3 | 29.7 | 22.0
| SN(E/C) | 0.89
|
|
|
|
|
|
|
18150062
| 47
| | Red | Green | Blue
| z | | 19.07
| znorm | | 14.89
| sky | 14.6 | 14.5 | 14.6
| S/N | 15.4 | 25.2 | 30.1
| S/N(c) | 20.2 | 29.5 | 22.1
| SN(E/C) | 0.87
|
|
|
|
|
|
|
18150063
| 47
| | Red | Green | Blue
| z | | 19.01
| znorm | | 14.83
| sky | 14.8 | 14.5 | 14.5
| S/N | 14.9 | 24.4 | 28.9
| S/N(c) | 19.5 | 29.0 | 21.3
| SN(E/C) | 0.89
|
|
|
|
|
|
|
18150064
| 47
| | Red | Green | Blue
| z | | 19.01
| znorm | | 14.83
| sky | 14.5 | 14.6 | 14.6
| S/N | 14.9 | 24.6 | 29.1
| S/N(c) | 19.4 | 29.0 | 21.4
| SN(E/C) | 0.93
|
|
|
|
|
|
|