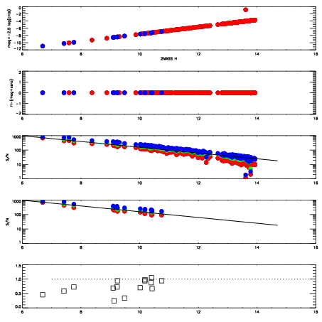
Left plots: red are targets, blue are telluric. Observed mags are calculated from median value of green chip. Zeropoint gives overall throughput: bigger number is more throughput.
First spatial plots: circles are objects, squares are tellurics, crosses are sky fibers. Colors give deviation of observed mag from expected 2MASS mag using the median zeropoint; red is brighter
Second spatial plots: circles are sky fibers. Colors give sky line brightness relative to plate median sky line brightness
FrameNreadsZeropointsMag plots Spatial mag deviation Spatial sky 16325A emission deviations (filled: sky, open: star) Spatial sky continuum emission Spatial sky telluric CO2 absorption deviations (filled: H < 10)
0 0
RedGreenBlue
z17.63
znorm Inf
sky -NaN -NaN -Inf
S/N 38.4 65.4 77.5
S/N(c) 0.0 0.0 0.0
SN(E/C) 0.72

IPAIRNAMESHIFTNEWSHIFTS/N NAMESHIFTNEWSHIFTS/N
0 18270035 0.510636 0.00000 19.1765 18270030 0.00372909 0.506907 19.1799
1 18270032 0.510097 0.000538945 19.1849 18270033 0.00494521 0.505691 19.1974
2 18270027 0.506304 0.00433195 19.1756 18270022 0.00000 0.510636 19.1229
3 18270031 0.509669 0.000966966 19.1746 18270025 0.000758415 0.509878 19.1216
4 18270028 0.507357 0.00327897 19.1489 18270029 0.00388433 0.506752 19.1195
5 18270024 0.506376 0.00425994 19.0963 18270026 0.000850744 0.509785 19.1149
6 18270023 0.505576 0.00505996 19.0838 18270034 0.00514692 0.505489 19.1054