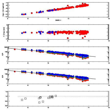
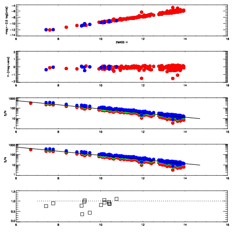
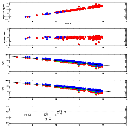
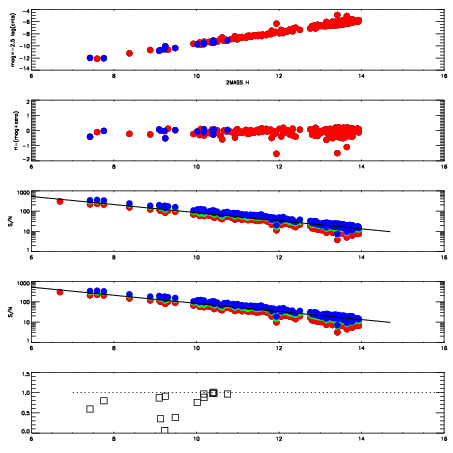
Left plots: red are targets, blue are telluric. Observed mags are calculated from median value of green chip. Zeropoint gives overall throughput: bigger number is more throughput.
First spatial plots: circles are objects, squares are tellurics, crosses are sky fibers. Colors give deviation of observed mag from expected 2MASS mag using the median zeropoint; red is brighter
Second spatial plots: circles are sky fibers. Colors give sky line brightness relative to plate median sky line brightness
FrameNreadsZeropointsMag plots Spatial mag deviation Spatial sky 16325A emission deviations (filled: sky, open: star) Spatial sky continuum emission Spatial sky telluric CO2 absorption deviations (filled: H < 10)
18480053 94
RedGreenBlue
z19.80
znorm14.87
sky 14.9 14.5 14.6
S/N 23.9 35.2 41.2
S/N(c) 23.6 30.7 71.8
SN(E/C) 0.85
18480054 94
RedGreenBlue
z19.84
znorm14.90
sky 14.9 14.7 14.7
S/N 24.6 36.6 42.2
S/N(c) 23.6 31.3 73.0
SN(E/C) 0.76
18480055 94
RedGreenBlue
z19.78
znorm14.85
sky 14.9 14.7 14.8
S/N 24.2 35.3 40.6
S/N(c) 22.9 31.0 70.9
SN(E/C) 0.88
18480056 94
RedGreenBlue
z19.81
znorm14.88
sky 15.0 14.8 14.7
S/N 25.2 35.9 41.7
S/N(c) 23.2 31.8 71.9
SN(E/C) 0.87