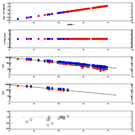
Left plots: red are targets, blue are telluric. Observed mags are calculated from median value of green chip. Zeropoint gives overall throughput: bigger number is more throughput.
First spatial plots: circles are objects, squares are tellurics, crosses are sky fibers. Colors give deviation of observed mag from expected 2MASS mag using the median zeropoint; red is brighter
Second spatial plots: circles are sky fibers. Colors give sky line brightness relative to plate median sky line brightness
FrameNreadsZeropointsMag plots Spatial mag deviation Spatial sky 16325A emission deviations (filled: sky, open: star) Spatial sky continuum emission Spatial sky telluric CO2 absorption deviations (filled: H < 10)
0 0
RedGreenBlue
z17.64
znorm Inf
sky -Inf -NaN -Inf
S/N 31.2 47.6 55.5
S/N(c) 0.0 0.0 0.0
SN(E/C) 0.87

IPAIRNAMESHIFTNEWSHIFTS/N NAMESHIFTNEWSHIFTS/N
0 18480053 0.00000 0.00000 19.8043 18480054 -0.503584 0.503584 19.8181
1 18480056 -0.000506033 0.000506033 19.7943 18480055 -0.504004 0.504004 19.7606