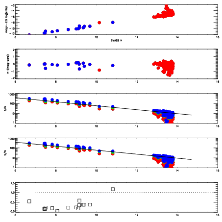
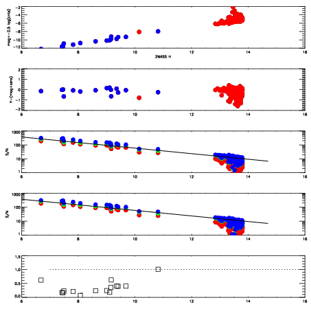
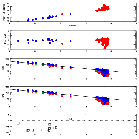
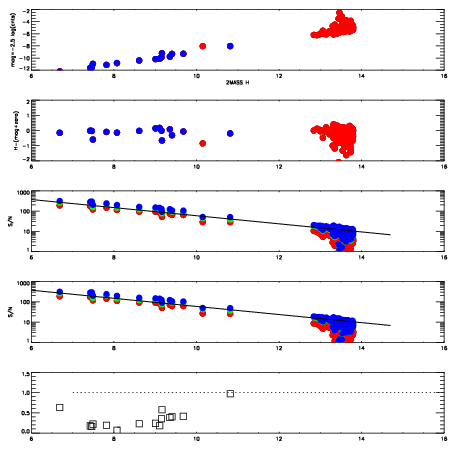
Frame | Nreads | Zeropoints | Mag plots
| Spatial mag deviation
| Spatial sky 16325A emission deviations (filled: sky, open: star)
| Spatial sky continuum emission
| Spatial sky telluric CO2 absorption deviations (filled: H < 10)
|
18480060
| 47
| | Red | Green | Blue
| z | | 18.91
| znorm | | 14.73
| sky | 15.0 | 14.7 | 15.0
| S/N | 14.7 | 20.0 | 26.4
| S/N(c) | 18.8 | 8.5 | 15.3
| SN(E/C) | 0.25
|
|
|
|
|
|
|
18480061
| 47
| | Red | Green | Blue
| z | | 19.02
| znorm | | 14.84
| sky | 15.1 | 14.9 | 15.1
| S/N | 14.7 | 20.2 | 26.4
| S/N(c) | 19.6 | 8.9 | 15.9
| SN(E/C) | 0.24
|
|
|
|
|
|
|
18480062
| 47
| | Red | Green | Blue
| z | | 19.00
| znorm | | 14.82
| sky | 14.9 | 14.9 | 15.1
| S/N | 14.5 | 19.9 | 26.1
| S/N(c) | 19.6 | 9.0 | 15.9
| SN(E/C) | 0.24
|
|
|
|
|
|
|
18480063
| 47
| | Red | Green | Blue
| z | | 19.04
| znorm | | 14.86
| sky | 15.1 | 15.1 | 15.1
| S/N | 15.1 | 20.4 | 26.8
| S/N(c) | 19.8 | 9.1 | 16.0
| SN(E/C) | 0.24
|
|
|
|
|
|
|
18480064
| 47
| | Red | Green | Blue
| z | | 19.03
| znorm | | 14.85
| sky | 15.3 | 15.2 | 14.9
| S/N | 14.4 | 19.8 | 26.1
| S/N(c) | 19.8 | 9.1 | 16.0
| SN(E/C) | 0.24
|
|
|
|
|
|
|
18480065
| 47
| | Red | Green | Blue
| z | | 19.01
| znorm | | 14.83
| sky | 15.5 | 15.0 | 15.0
| S/N | 14.6 | 20.0 | 26.3
| S/N(c) | 19.8 | 9.0 | 16.0
| SN(E/C) | 0.24
|
|
|
|
|
|
|
18480066
| 47
| | Red | Green | Blue
| z | | 19.01
| znorm | | 14.83
| sky | 15.1 | 14.8 | 15.2
| S/N | 14.3 | 19.6 | 25.9
| S/N(c) | 19.9 | 9.1 | 16.1
| SN(E/C) | 0.24
|
|
|
|
|
|
|
18480067
| 47
| | Red | Green | Blue
| z | | 18.98
| znorm | | 14.80
| sky | 15.3 | 15.1 | 15.1
| S/N | 14.3 | 19.6 | 25.8
| S/N(c) | 19.4 | 8.9 | 15.7
| SN(E/C) | 0.25
|
|
|
|
|
|
|