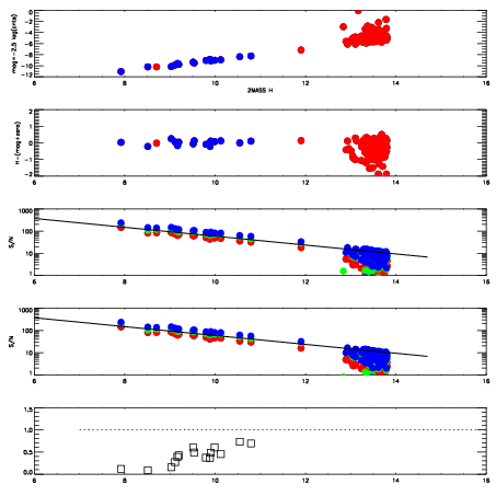
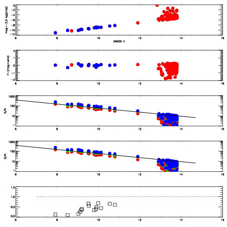
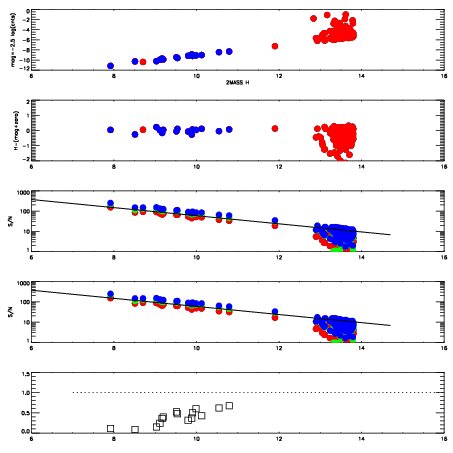
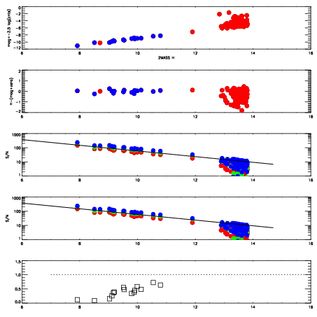
Frame | Nreads | Zeropoints | Mag plots
| Spatial mag deviation
| Spatial sky 16325A emission deviations (filled: sky, open: star)
| Spatial sky continuum emission
| Spatial sky telluric CO2 absorption deviations (filled: H < 10)
|
19070025
| 47
| | Red | Green | Blue
| z | | 18.93
| znorm | | 14.75
| sky | 14.8 | 14.5 | 14.7
| S/N | 16.1 | 26.3 | 29.8
| S/N(c) | 14.0 | 21.7 | 20.8
| SN(E/C) | 0.42
|
|
|
|
|
|
|
19070026
| 47
| | Red | Green | Blue
| z | | 18.99
| znorm | | 14.81
| sky | 14.9 | 14.7 | 14.7
| S/N | 16.6 | 26.6 | 30.3
| S/N(c) | 14.3 | 22.1 | 21.3
| SN(E/C) | 0.41
|
|
|
|
|
|
|
19070027
| 47
| | Red | Green | Blue
| z | | 18.92
| znorm | | 14.73
| sky | 14.8 | 14.6 | 14.6
| S/N | 15.8 | 25.7 | 29.2
| S/N(c) | 13.9 | 21.3 | 20.5
| SN(E/C) | 0.42
|
|
|
|
|
|
|
19070028
| 47
| | Red | Green | Blue
| z | | 18.92
| znorm | | 14.74
| sky | 15.3 | 14.9 | 14.8
| S/N | 15.7 | 25.7 | 28.8
| S/N(c) | 13.8 | 21.5 | 20.6
| SN(E/C) | 0.39
|
|
|
|
|
|
|
19070029
| 47
| | Red | Green | Blue
| z | | 18.95
| znorm | | 14.77
| sky | 14.8 | 14.7 | 14.7
| S/N | 15.7 | 25.8 | 29.2
| S/N(c) | 14.0 | 21.7 | 20.9
| SN(E/C) | 0.40
|
|
|
|
|
|
|
19070030
| 47
| | Red | Green | Blue
| z | | 18.99
| znorm | | 14.81
| sky | 14.8 | 14.8 | 14.8
| S/N | 16.3 | 26.8 | 30.1
| S/N(c) | 14.4 | 22.3 | 21.5
| SN(E/C) | 0.38
|
|
|
|
|
|
|
19070031
| 47
| | Red | Green | Blue
| z | | 19.02
| znorm | | 14.84
| sky | 14.7 | 14.6 | 14.7
| S/N | 16.5 | 27.1 | 30.6
| S/N(c) | 14.5 | 22.5 | 21.6
| SN(E/C) | 0.40
|
|
|
|
|
|
|
19070032
| 47
| | Red | Green | Blue
| z | | 19.04
| znorm | | 14.86
| sky | 14.8 | 14.7 | 14.5
| S/N | 17.0 | 27.4 | 31.0
| S/N(c) | 14.6 | 22.8 | 21.9
| SN(E/C) | 0.37
|
|
|
|
|
|
|
19070033
| 47
| | Red | Green | Blue
| z | | 19.08
| znorm | | 14.90
| sky | 14.9 | 14.8 | 14.7
| S/N | 17.0 | 28.0 | 31.6
| S/N(c) | 15.0 | 23.1 | 22.2
| SN(E/C) | 0.37
|
|
|
|
|
|
|
19070034
| 47
| | Red | Green | Blue
| z | | 19.07
| znorm | | 14.89
| sky | 14.7 | 14.9 | 14.7
| S/N | 17.0 | 27.5 | 31.3
| S/N(c) | 14.9 | 23.2 | 22.3
| SN(E/C) | 0.37
|
|
|
|
|
|
|
19070035
| 47
| | Red | Green | Blue
| z | | 19.06
| znorm | | 14.88
| sky | 14.9 | 14.8 | 14.7
| S/N | 16.8 | 27.6 | 31.4
| S/N(c) | 14.9 | 23.1 | 22.2
| SN(E/C) | 0.39
|
|
|
|
|
|
|
19070036
| 47
| | Red | Green | Blue
| z | | 18.93
| znorm | | 14.75
| sky | 13.9 | 13.8 | 13.8
| S/N | 14.9 | 24.7 | 27.8
| S/N(c) | 13.8 | 21.6 | 20.8
| SN(E/C) | 0.39
|
|
|
|
|
|
|