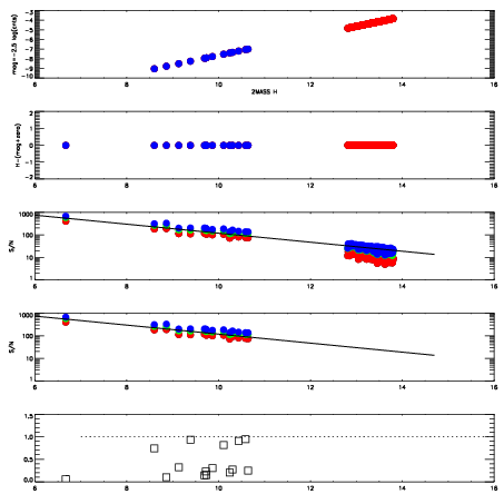
Left plots: red are targets, blue are telluric. Observed mags are calculated from median value of green chip. Zeropoint gives overall throughput: bigger number is more throughput.
First spatial plots: circles are objects, squares are tellurics, crosses are sky fibers. Colors give deviation of observed mag from expected 2MASS mag using the median zeropoint; red is brighter
Second spatial plots: circles are sky fibers. Colors give sky line brightness relative to plate median sky line brightness
FrameNreadsZeropointsMag plots Spatial mag deviation Spatial sky 16325A emission deviations (filled: sky, open: star) Spatial sky continuum emission Spatial sky telluric CO2 absorption deviations (filled: H < 10)
0 0
RedGreenBlue
z17.65
znorm Inf
sky -Inf -Inf -NaN
S/N 37.4 56.7 67.1
S/N(c) 22.8 42.3 58.4
SN(E/C) 0.27

IPAIRNAMESHIFTNEWSHIFTS/N NAMESHIFTNEWSHIFTS/N
0 19020041 0.501530 0.00000 19.1218 19020040 0.00000 0.501530 19.1258
1 19020046 0.500931 0.000598967 19.1514 19020044 8.57885e-05 0.501444 19.1408
2 19020045 0.500645 0.000885010 19.1193 19020043 0.000295708 0.501234 19.1253
3 19020042 0.501488 4.20213e-05 19.1040 19020047 0.000644375 0.500886 19.0573