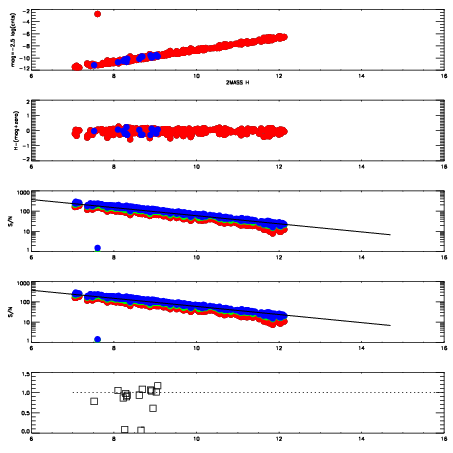
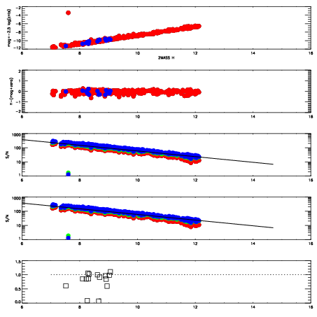
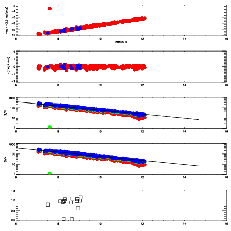
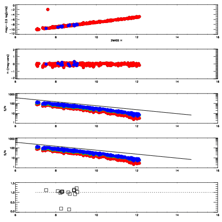
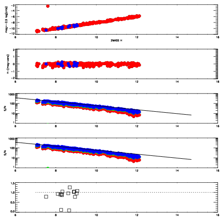
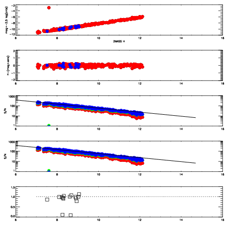
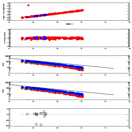
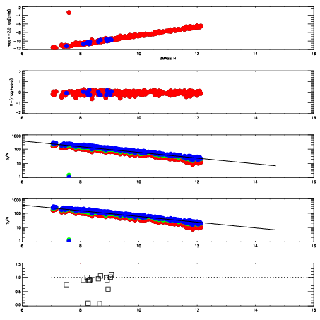
Frame | Nreads | Zeropoints | Mag plots
| Spatial mag deviation
| Spatial sky 16325A emission deviations (filled: sky, open: star)
| Spatial sky continuum emission
| Spatial sky telluric CO2 absorption deviations (filled: H < 10)
|
18150068
| 47
| | Red | Green | Blue
| z | | 18.79
| znorm | | 14.61
| sky | 14.2 | 14.1 | 14.3
| S/N | 14.1 | 21.8 | 26.7
| S/N(c) | 51.3 | 17.6 | 17.3
| SN(E/C) | 0.85
|
|
|
|
|
|
|
18150069
| 47
| | Red | Green | Blue
| z | | 18.72
| znorm | | 14.54
| sky | 14.5 | 14.2 | 14.2
| S/N | 13.2 | 21.4 | 25.7
| S/N(c) | 49.7 | 17.2 | 16.7
| SN(E/C) | 0.94
|
|
|
|
|
|
|
18150070
| 47
| | Red | Green | Blue
| z | | 18.75
| znorm | | 14.56
| sky | 14.3 | 14.2 | 14.3
| S/N | 14.1 | 21.9 | 26.4
| S/N(c) | 50.3 | 17.4 | 16.9
| SN(E/C) | 0.90
|
|
|
|
|
|
|
18150071
| 47
| | Red | Green | Blue
| z | | 18.59
| znorm | | 14.41
| sky | 14.2 | 14.2 | 14.2
| S/N | 12.4 | 20.2 | 23.8
| S/N(c) | 47.3 | 16.3 | 15.7
| SN(E/C) | 0.95
|
|
|
|
|
|
|
18150072
| 47
| | Red | Green | Blue
| z | | 18.08
| znorm | | 13.90
| sky | 14.4 | 14.2 | 14.2
| S/N | 8.4 | 14.7 | 16.9
| S/N(c) | 35.4 | 12.6 | 12.3
| SN(E/C) | 0.92
|
|
|
|
|
|
|
18150073
| 47
| | Red | Green | Blue
| z | | 17.13
| znorm | | 12.94
| sky | 14.2 | 14.2 | 14.3
| S/N | 3.5 | 7.4 | 9.0
| S/N(c) | 20.9 | 8.0 | 7.5
| SN(E/C) | 1.02
|
|
|
|
|
|
|
18150074
| 47
| | Red | Green | Blue
| z | | 18.21
| znorm | | 14.03
| sky | 14.4 | 14.3 | 14.4
| S/N | 9.3 | 16.5 | 18.9
| S/N(c) | 38.9 | 13.6 | 13.1
| SN(E/C) | 0.97
|
|
|
|
|
|
|
18150075
| 47
| | Red | Green | Blue
| z | | 17.31
| znorm | | 13.13
| sky | 14.3 | 14.2 | 14.2
| S/N | 4.4 | 8.8 | 10.1
| S/N(c) | 23.3 | 8.8 | 8.2
| SN(E/C) | 1.03
|
|
|
|
|
|
|