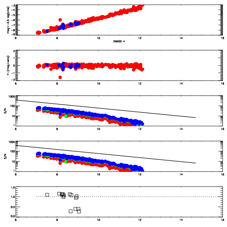
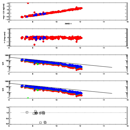
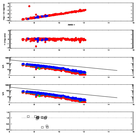
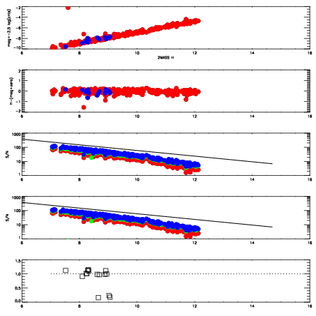
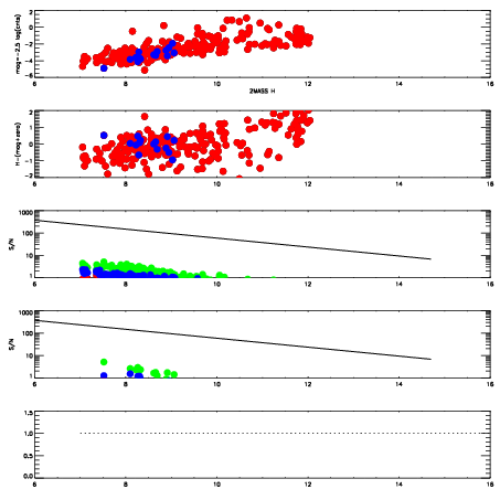
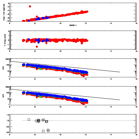
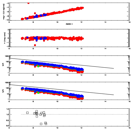
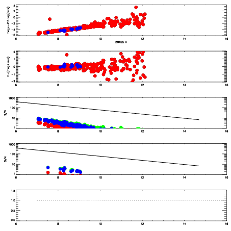
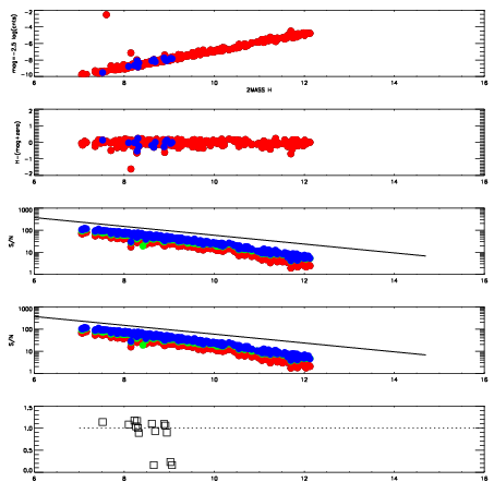
Frame | Nreads | Zeropoints | Mag plots
| Spatial mag deviation
| Spatial sky 16325A emission deviations (filled: sky, open: star)
| Spatial sky continuum emission
| Spatial sky telluric CO2 absorption deviations (filled: H < 10)
|
18440044
| 47
| | Red | Green | Blue
| z | | 17.37
| znorm | | 13.19
| sky | 13.7 | 13.6 | 13.7
| S/N | 4.5 | 8.1 | 9.8
| S/N(c) | 22.9 | 8.4 | 8.2
| SN(E/C) | 0.96
|
|
|
|
|
|
|
18440045
| 47
| | Red | Green | Blue
| z | | 16.89
| znorm | | 12.71
| sky | 13.4 | 13.3 | 13.3
| S/N | 2.9 | 5.3 | 6.5
| S/N(c) | 16.2 | 6.3 | 6.1
| SN(E/C) | 0.99
|
|
|
|
|
|
|
18440046
| 47
| | Red | Green | Blue
| z | | 16.90
| znorm | | 12.72
| sky | 13.5 | 13.4 | 13.4
| S/N | 3.0 | 5.8 | 6.8
| S/N(c) | 16.5 | 6.4 | 6.3
| SN(E/C) | 1.04
|
|
|
|
|
|
|
18440047
| 47
| | Red | Green | Blue
| z | | 16.92
| znorm | | 12.74
| sky | 13.7 | 13.6 | 13.6
| S/N | 2.9 | 5.7 | 6.9
| S/N(c) | 17.2 | 6.6 | 6.4
| SN(E/C) | 0.93
|
|
|
|
|
|
|
18440048
| 47
| | Red | Green | Blue
| z | | 16.51
| znorm | | 12.33
| sky | 13.7 | 13.7 | 13.7
| S/N | 2.1 | 3.9 | 5.2
| S/N(c) | 13.0 | 5.1 | 5.1
| SN(E/C) | 1.05
|
|
|
|
|
|
|
18440049
| 47
| | Red | Green | Blue
| z | | 16.20
| znorm | | 12.02
| sky | 13.6 | 13.6 | 13.7
| S/N | 1.5 | 3.2 | 3.9
| S/N(c) | 10.7 | 4.4 | 4.2
| SN(E/C) | 1.02
|
|
|
|
|
|
|
18440050
| 47
| | Red | Green | Blue
| z | | 15.69
| znorm | | 11.51
| sky | 13.7 | 13.6 | 13.6
| S/N | 1.0 | 2.0 | 2.3
| S/N(c) | 7.0 | 3.0 | 3.0
| SN(E/C) | 1.05
|
|
|
|
|
|
|
18440051
| 47
| | Red | Green | Blue
| z | | 11.90
| znorm | | 7.72
| sky | 13.9 | 14.0 | 14.3
| S/N | 0.1 | -0.0 | 0.2
| S/N(c) | 0.0 | 0.0 | 0.0
| SN(E/C) | 3.03
|
|
|
|
|
|
|
18440052
| 47
| | Red | Green | Blue
| z | | 12.49
| znorm | | 8.31
| sky | 13.8 | 13.9 | 14.1
| S/N | -0.1 | 0.1 | -0.0
| S/N(c) | 0.0 | 0.0 | 0.0
| SN(E/C) | 2.43
|
|
|
|
|
|
|
18440053
| 47
| | Red | Green | Blue
| z | | 11.28
| znorm | | 7.10
| sky | 14.1 | 14.3 | 14.4
| S/N | -0.0 | 0.0 | 0.2
| S/N(c) | 0.0 | 0.0 | 0.0
| SN(E/C) | 4.45
|
|
|
|
|
|
|
18440054
| 47
| | Red | Green | Blue
| z | | 10.97
| znorm | | 6.79
| sky | 14.2 | 14.4 | 15.0
| S/N | -0.0 | -0.1 | -0.2
| S/N(c) | 0.0 | 0.0 | 0.0
| SN(E/C) | 6.47
|
|
|
|
|
|
|
18440055
| 47
| | Red | Green | Blue
| z | | 10.52
| znorm | | 6.34
| sky | 14.8 | 14.9 | 15.6
| S/N | -0.0 | -0.1 | 0.0
| S/N(c) | 0.0 | 0.0 | 0.0
| SN(E/C) | 6.67
|
|
|
|
|
|
|
18440056
| 47
| | Red | Green | Blue
| z | | 10.88
| znorm | | 6.70
| sky | 14.3 | 14.5 | 14.7
| S/N | 0.0 | 0.1 | -0.1
| S/N(c) | 0.0 | 0.0 | 0.0
| SN(E/C) | 5.39
|
|
|
|
|
|
|
18440057
| 47
| | Red | Green | Blue
| z | | 10.52
| znorm | | 6.34
| sky | 14.2 | 14.3 | 14.2
| S/N | -0.0 | 0.1 | 0.0
| S/N(c) | 0.0 | 0.0 | 0.0
| SN(E/C) | 6.80
|
|
|
|
|
|
|
18440058
| 47
| | Red | Green | Blue
| z | | 10.63
| znorm | | 6.45
| sky | 14.4 | 14.4 | 14.7
| S/N | 0.3 | 0.1 | -0.0
| S/N(c) | 0.0 | 0.0 | 0.0
| SN(E/C) | 6.97
|
|
|
|
|
|
|
18440059
| 47
| | Red | Green | Blue
| z | | 10.70
| znorm | | 6.52
| sky | 14.5 | 14.7 | 15.0
| S/N | -0.0 | -0.0 | -0.1
| S/N(c) | 0.0 | 0.0 | 0.0
| SN(E/C) | 8.26
|
|
|
|
|
|
|