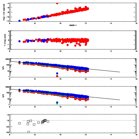
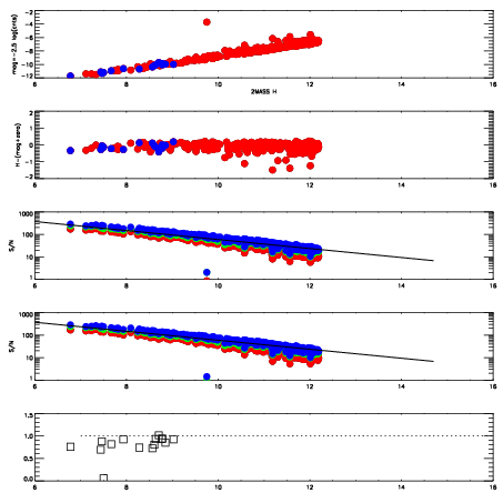
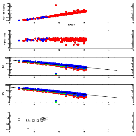
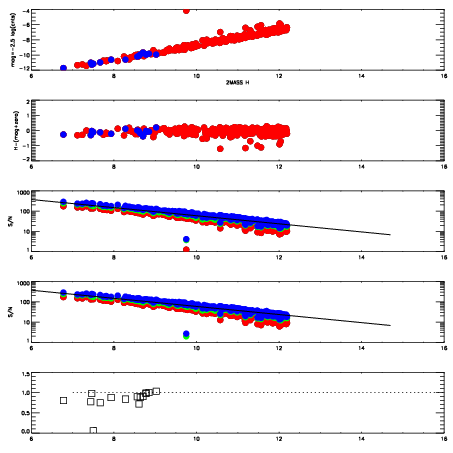
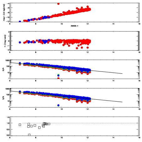
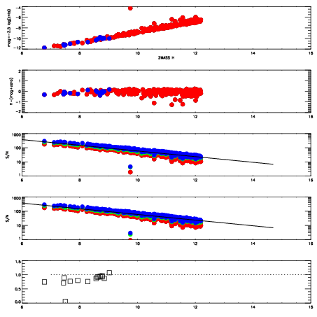
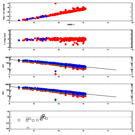
Frame | Nreads | Zeropoints | Mag plots
| Spatial mag deviation
| Spatial sky 16325A emission deviations (filled: sky, open: star)
| Spatial sky continuum emission
| Spatial sky telluric CO2 absorption deviations (filled: H < 10)
|
18480040
| 47
| | Red | Green | Blue
| z | | 18.94
| znorm | | 14.76
| sky | 14.0 | 13.9 | 13.8
| S/N | 13.3 | 21.7 | 24.8
| S/N(c) | 15.9 | 6.9 | 8.8
| SN(E/C) | 0.87
|
|
|
|
|
|
|
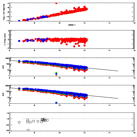
18480041
| 47
| | Red | Green | Blue
| z | | 18.89
| znorm | | 14.71
| sky | 13.7 | 13.7 | 13.5
| S/N | 12.4 | 20.7 | 23.5
| S/N(c) | 15.1 | 6.6 | 8.4
| SN(E/C) | 0.89
|
|
|
|
|
|
|
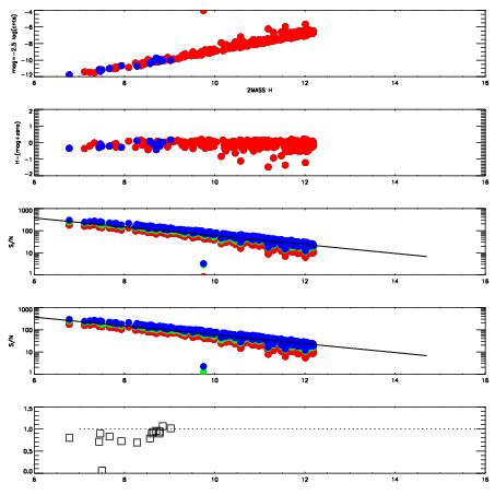
18480042
| 47
| | Red | Green | Blue
| z | | 18.82
| znorm | | 14.64
| sky | 13.4 | 13.3 | 13.2
| S/N | 11.8 | 19.8 | 22.2
| S/N(c) | 14.3 | 6.5 | 8.1
| SN(E/C) | 0.84
|
|
|
|
|
|
|
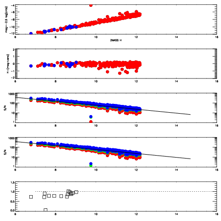
18480043
| 47
| | Red | Green | Blue
| z | | 18.97
| znorm | | 14.79
| sky | 14.1 | 13.9 | 13.9
| S/N | 13.6 | 22.4 | 25.3
| S/N(c) | 16.1 | 7.1 | 8.9
| SN(E/C) | 0.85
|
|
|
|
|
|
|
18480044
| 47
| | Red | Green | Blue
| z | | 18.83
| znorm | | 14.65
| sky | 14.8 | 14.4 | 14.4
| S/N | 12.6 | 21.4 | 24.1
| S/N(c) | 15.2 | 6.7 | 8.5
| SN(E/C) | 0.87
|
|
|
|
|
|
|
18480045
| 47
| | Red | Green | Blue
| z | | 18.91
| znorm | | 14.73
| sky | 14.3 | 14.2 | 14.0
| S/N | 13.0 | 21.9 | 25.1
| S/N(c) | 15.9 | 7.0 | 8.8
| SN(E/C) | 0.86
|
|
|
|
|
|
|
18480046
| 47
| | Red | Green | Blue
| z | | 18.89
| znorm | | 14.71
| sky | 14.5 | 14.3 | 14.3
| S/N | 13.0 | 21.9 | 24.9
| S/N(c) | 15.7 | 6.9 | 8.7
| SN(E/C) | 0.84
|
|
|
|
|
|
|
18480047
| 47
| | Red | Green | Blue
| z | | 18.73
| znorm | | 14.55
| sky | 14.3 | 14.3 | 14.0
| S/N | 11.7 | 19.8 | 22.4
| S/N(c) | 14.2 | 6.4 | 8.0
| SN(E/C) | 0.91
|
|
|
|
|
|
|
18480048
| 47
| | Red | Green | Blue
| z | | 18.76
| znorm | | 14.58
| sky | 14.5 | 14.4 | 14.1
| S/N | 11.7 | 20.3 | 22.7
| S/N(c) | 14.5 | 6.5 | 8.1
| SN(E/C) | 0.88
|
|
|
|
|
|
|
18480049
| 47
| | Red | Green | Blue
| z | | 18.80
| znorm | | 14.62
| sky | 13.9 | 13.8 | 13.7
| S/N | 11.7 | 19.9 | 22.5
| S/N(c) | 14.5 | 6.5 | 8.2
| SN(E/C) | 0.86
|
|
|
|
|
|
|