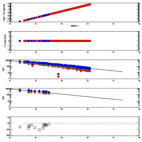
Left plots: red are targets, blue are telluric. Observed mags are calculated from median value of green chip. Zeropoint gives overall throughput: bigger number is more throughput.
First spatial plots: circles are objects, squares are tellurics, crosses are sky fibers. Colors give deviation of observed mag from expected 2MASS mag using the median zeropoint; red is brighter
Second spatial plots: circles are sky fibers. Colors give sky line brightness relative to plate median sky line brightness
FrameNreadsZeropointsMag plots Spatial mag deviation Spatial sky 16325A emission deviations (filled: sky, open: star) Spatial sky continuum emission Spatial sky telluric CO2 absorption deviations (filled: H < 10)
0 0
RedGreenBlue
z17.64
znorm Inf
sky -NaN -NaN -NaN
S/N 24.5 43.0 49.3
S/N(c) 0.0 0.0 0.0
SN(E/C) 0.79

IPAIRNAMESHIFTNEWSHIFTS/N NAMESHIFTNEWSHIFTS/N
0 18810028 0.506552 0.00000 18.9619 18810030 -0.00152064 0.508073 18.9833
1 18810027 0.506168 0.000383973 19.0288 18810026 0.00000 0.506552 19.0143
2 18810031 0.505795 0.000756979 18.9194 18810029 -0.00152210 0.508074 18.9653
3 18810032 0.506368 0.000184000 18.8838 18810033 0.00190685 0.504645 18.8108