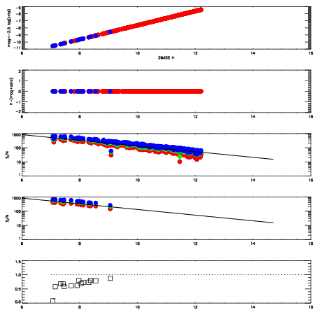
Left plots: red are targets, blue are telluric. Observed mags are calculated from median value of green chip. Zeropoint gives overall throughput: bigger number is more throughput.
First spatial plots: circles are objects, squares are tellurics, crosses are sky fibers. Colors give deviation of observed mag from expected 2MASS mag using the median zeropoint; red is brighter
Second spatial plots: circles are sky fibers. Colors give sky line brightness relative to plate median sky line brightness
FrameNreadsZeropointsMag plots Spatial mag deviation Spatial sky 16325A emission deviations (filled: sky, open: star) Spatial sky continuum emission Spatial sky telluric CO2 absorption deviations (filled: H < 10)
0 0
RedGreenBlue
z17.64
znorm Inf
sky -Inf -Inf -NaN
S/N 30.6 50.8 58.4
S/N(c) 0.0 0.0 0.0
SN(E/C) 0.69

IPAIRNAMESHIFTNEWSHIFTS/N NAMESHIFTNEWSHIFTS/N
0 18160028 0.504288 0.00000 19.0591 18160030 0.00384926 0.500439 19.0387
1 18160029 0.503807 0.000481009 19.0698 18160031 0.00298720 0.501301 19.1031
2 18160032 0.503631 0.000657022 19.0590 18160027 0.00217056 0.502117 18.9740
3 18160024 0.503451 0.000837028 18.8679 18160026 0.00254411 0.501744 18.9521
4 18160025 0.504252 3.60012e-05 18.8670 18160023 0.00000 0.504288 18.7331