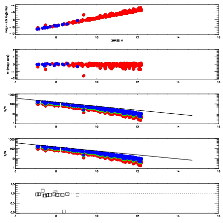
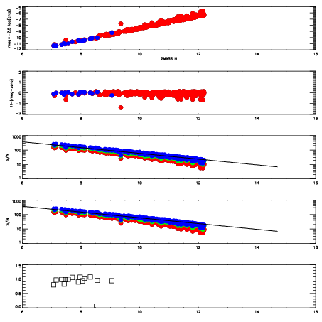
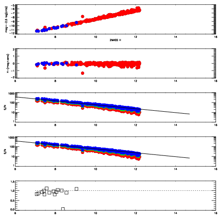
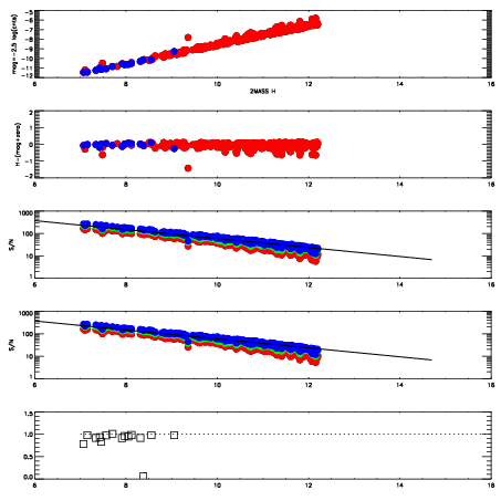
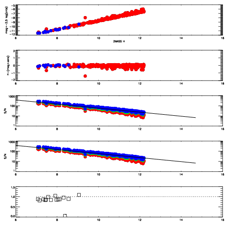
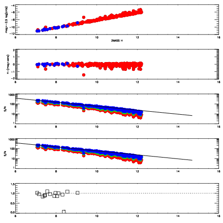
Left plots: red are targets, blue are telluric. Observed mags are calculated from median value of green chip. Zeropoint gives overall throughput: bigger number is more throughput.
First spatial plots: circles are objects, squares are tellurics, crosses are sky fibers. Colors give deviation of observed mag from expected 2MASS mag using the median zeropoint; red is brighter
Second spatial plots: circles are sky fibers. Colors give sky line brightness relative to plate median sky line brightness
FrameNreadsZeropointsMag plots Spatial mag deviation Spatial sky 16325A emission deviations (filled: sky, open: star) Spatial sky continuum emission Spatial sky telluric CO2 absorption deviations (filled: H < 10)
18440011 47
RedGreenBlue
z18.16
znorm13.98
sky 13.8 13.7 13.6
S/N 8.0 14.3 15.6
S/N(c) 17.3 14.4 9.0
SN(E/C) 0.95
18440012 47
RedGreenBlue
z17.64
znorm13.46
sky 13.5 13.4 13.4
S/N 4.8 9.1 10.3
S/N(c) 11.3 9.8 6.3
SN(E/C) 0.92
18440013 47
RedGreenBlue
z18.59
znorm14.41
sky 14.2 14.3 14.1
S/N 10.9 19.1 20.9
S/N(c) 22.5 18.2 11.6
SN(E/C) 0.94
18440014 47
RedGreenBlue
z18.50
znorm14.32
sky 14.5 14.2 14.2
S/N 10.2 17.6 19.9
S/N(c) 21.2 17.2 10.8
SN(E/C) 0.96
18440015 47
RedGreenBlue
z18.73
znorm14.54
sky 14.5 14.5 14.5
S/N 12.1 20.4 23.4
S/N(c) 24.7 19.6 12.4
SN(E/C) 0.87
18440016 47
RedGreenBlue
z18.51
znorm14.33
sky 14.3 14.1 14.2
S/N 10.4 17.8 20.3
S/N(c) 21.2 17.3 10.9
SN(E/C) 0.93