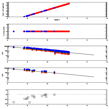
Left plots: red are targets, blue are telluric. Observed mags are calculated from median value of green chip. Zeropoint gives overall throughput: bigger number is more throughput.
First spatial plots: circles are objects, squares are tellurics, crosses are sky fibers. Colors give deviation of observed mag from expected 2MASS mag using the median zeropoint; red is brighter
Second spatial plots: circles are sky fibers. Colors give sky line brightness relative to plate median sky line brightness
FrameNreadsZeropointsMag plots Spatial mag deviation Spatial sky 16325A emission deviations (filled: sky, open: star) Spatial sky continuum emission Spatial sky telluric CO2 absorption deviations (filled: H < 10)
0 0
RedGreenBlue
z17.64
znorm Inf
sky -Inf -Inf -NaN
S/N 28.1 48.9 55.2
S/N(c) 0.0 0.0 0.0
SN(E/C) 0.76

IPAIRNAMESHIFTNEWSHIFTS/N NAMESHIFTNEWSHIFTS/N
0 18130049 0.00141353 0.00000 19.1606 18130044 -0.500780 0.502194 19.1671
1 18130046 0.000446766 0.000966764 19.1794 18130048 -0.500914 0.502328 19.1716
2 18130045 0.000860534 0.000552996 19.1420 18130047 -0.500554 0.501968 19.1550
3 18130042 0.00000 0.00141353 19.1285 18130043 -0.500995 0.502409 19.1532