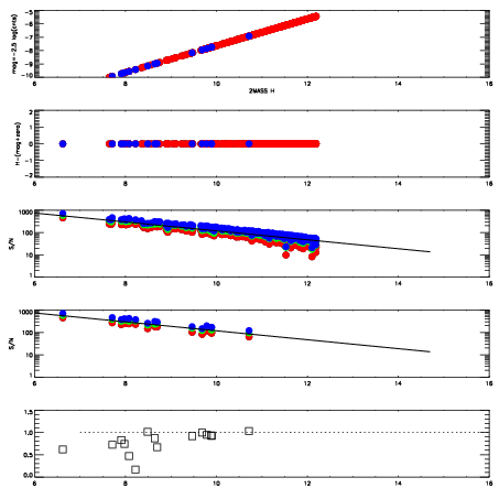
Left plots: red are targets, blue are telluric. Observed mags are calculated from median value of green chip. Zeropoint gives overall throughput: bigger number is more throughput.
First spatial plots: circles are objects, squares are tellurics, crosses are sky fibers. Colors give deviation of observed mag from expected 2MASS mag using the median zeropoint; red is brighter
Second spatial plots: circles are sky fibers. Colors give sky line brightness relative to plate median sky line brightness
FrameNreadsZeropointsMag plots Spatial mag deviation Spatial sky 16325A emission deviations (filled: sky, open: star) Spatial sky continuum emission Spatial sky telluric CO2 absorption deviations (filled: H < 10)
0 0
RedGreenBlue
z17.64
znorm Inf
sky -Inf -Inf -NaN
S/N 24.9 42.2 47.4
S/N(c) 0.0 0.0 0.0
SN(E/C) 0.87

IPAIRNAMESHIFTNEWSHIFTS/N NAMESHIFTNEWSHIFTS/N
0 18160051 0.00000 0.00000 18.9482 18160053 -0.499925 0.499925 18.9706
1 18160058 -0.000559223 0.000559223 18.9911 18160052 -0.499858 0.499858 18.9926
2 18160055 -4.22366e-05 4.22366e-05 18.9114 18160056 -0.499968 0.499968 18.9584
3 18160054 -0.000505967 0.000505967 18.8961 18160057 -0.499881 0.499881 18.9566