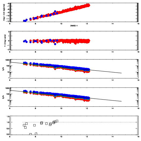
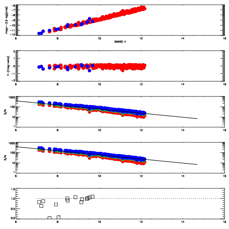
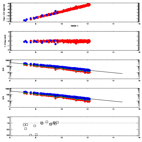
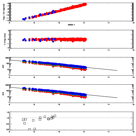
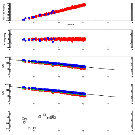
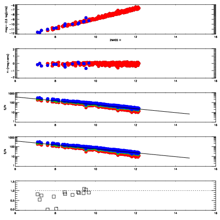
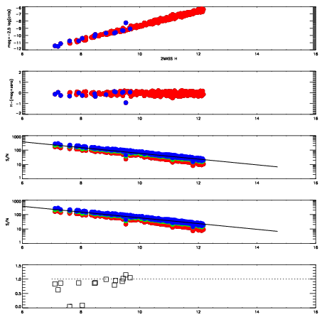
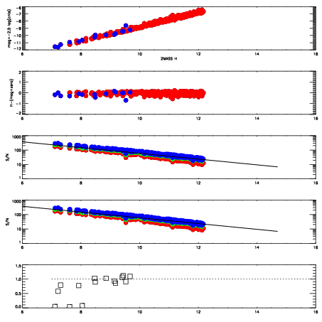
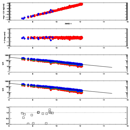
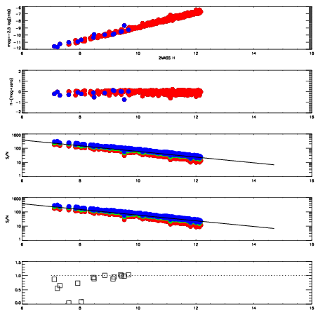
Frame | Nreads | Zeropoints | Mag plots
| Spatial mag deviation
| Spatial sky 16325A emission deviations (filled: sky, open: star)
| Spatial sky continuum emission
| Spatial sky telluric CO2 absorption deviations (filled: H < 10)
|
18150022
| 47
| | Red | Green | Blue
| z | | 18.68
| znorm | | 14.50
| sky | 14.7 | 14.3 | 14.3
| S/N | 12.0 | 20.1 | 22.6
| S/N(c) | 20.5 | 26.3 | 22.0
| SN(E/C) | 0.86
|
|
|
|
|
|
|
18150023
| 47
| | Red | Green | Blue
| z | | 18.76
| znorm | | 14.58
| sky | 14.5 | 14.4 | 14.3
| S/N | 12.2 | 21.2 | 23.2
| S/N(c) | 21.7 | 26.9 | 22.7
| SN(E/C) | 0.93
|
|
|
|
|
|
|
18150024
| 47
| | Red | Green | Blue
| z | | 18.68
| znorm | | 14.50
| sky | 14.8 | 14.6 | 14.4
| S/N | 11.8 | 20.1 | 21.9
| S/N(c) | 20.5 | 25.8 | 21.8
| SN(E/C) | 0.91
|
|
|
|
|
|
|
18150025
| 47
| | Red | Green | Blue
| z | | 18.68
| znorm | | 14.50
| sky | 14.9 | 14.5 | 14.3
| S/N | 11.7 | 20.4 | 22.2
| S/N(c) | 20.4 | 25.6 | 21.9
| SN(E/C) | 0.90
|
|
|
|
|
|
|
18150026
| 47
| | Red | Green | Blue
| z | | 18.92
| znorm | | 14.74
| sky | 14.6 | 14.4 | 14.2
| S/N | 13.9 | 22.7 | 25.2
| S/N(c) | 23.1 | 29.0 | 24.9
| SN(E/C) | 0.89
|
|
|
|
|
|
|
18150027
| 47
| | Red | Green | Blue
| z | | 18.85
| znorm | | 14.67
| sky | 14.6 | 14.4 | 14.2
| S/N | 13.2 | 22.0 | 24.1
| S/N(c) | 22.3 | 28.1 | 23.9
| SN(E/C) | 0.89
|
|
|
|
|
|
|
18150028
| 47
| | Red | Green | Blue
| z | | 18.93
| znorm | | 14.75
| sky | 14.8 | 14.5 | 14.2
| S/N | 13.6 | 23.0 | 25.2
| S/N(c) | 23.6 | 29.4 | 25.1
| SN(E/C) | 0.88
|
|
|
|
|
|
|
18150029
| 47
| | Red | Green | Blue
| z | | 18.91
| znorm | | 14.73
| sky | 14.8 | 14.5 | 14.2
| S/N | 13.5 | 22.5 | 25.1
| S/N(c) | 23.1 | 29.0 | 24.8
| SN(E/C) | 0.83
|
|
|
|
|
|
|
18150030
| 47
| | Red | Green | Blue
| z | | 18.84
| znorm | | 14.66
| sky | 14.6 | 14.5 | 14.3
| S/N | 12.9 | 21.8 | 24.0
| S/N(c) | 22.4 | 28.1 | 24.1
| SN(E/C) | 0.90
|
|
|
|
|
|
|
18150031
| 47
| | Red | Green | Blue
| z | | 18.86
| znorm | | 14.68
| sky | 14.5 | 14.5 | 14.5
| S/N | 13.2 | 22.1 | 24.8
| S/N(c) | 22.1 | 28.4 | 24.0
| SN(E/C) | 0.89
|
|
|
|
|
|
|