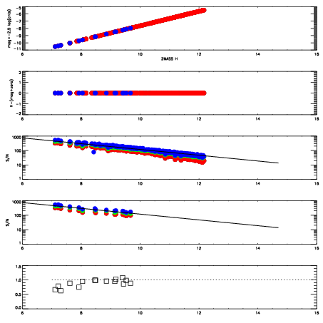
Left plots: red are targets, blue are telluric. Observed mags are calculated from median value of green chip. Zeropoint gives overall throughput: bigger number is more throughput.
First spatial plots: circles are objects, squares are tellurics, crosses are sky fibers. Colors give deviation of observed mag from expected 2MASS mag using the median zeropoint; red is brighter
Second spatial plots: circles are sky fibers. Colors give sky line brightness relative to plate median sky line brightness
FrameNreadsZeropointsMag plots Spatial mag deviation Spatial sky 16325A emission deviations (filled: sky, open: star) Spatial sky continuum emission Spatial sky telluric CO2 absorption deviations (filled: H < 10)
0 0
RedGreenBlue
z17.64
znorm Inf
sky -Inf -Inf -Inf
S/N 20.9 36.8 41.8
S/N(c) 0.0 0.0 0.0
SN(E/C) 0.95

IPAIRNAMESHIFTNEWSHIFTS/N NAMESHIFTNEWSHIFTS/N
0 18430017 0.505885 0.00000 18.7174 18430015 0.00304667 0.502838 18.8059
1 18430013 0.503830 0.00205499 18.5628 18430018 0.00304667 0.502838 18.7521
2 18430012 0.503892 0.00199300 18.5513 18430014 0.00247852 0.503406 18.5858
3 18430016 0.505424 0.000460982 18.4335 18430011 0.00000 0.505885 18.5638