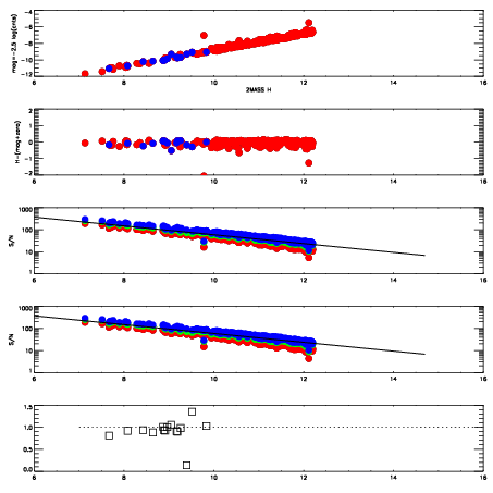
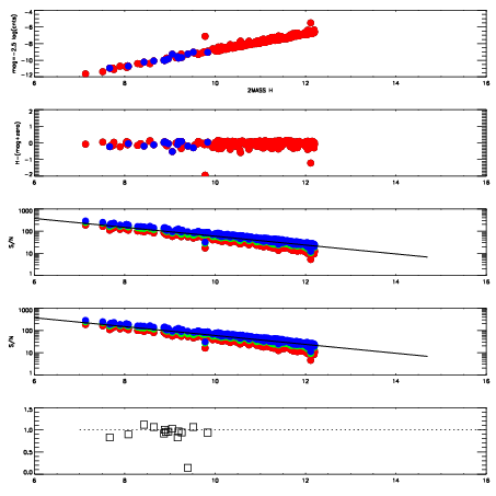
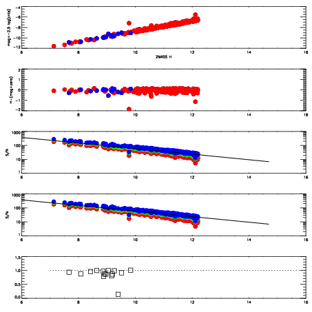
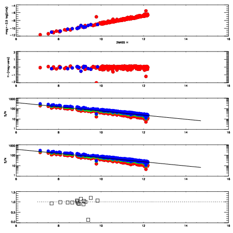
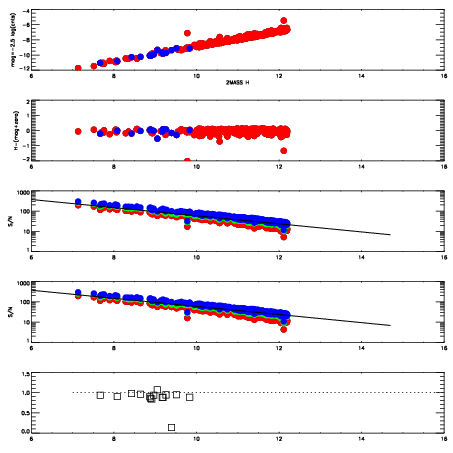
Frame | Nreads | Zeropoints | Mag plots
| Spatial mag deviation
| Spatial sky 16325A emission deviations (filled: sky, open: star)
| Spatial sky continuum emission
| Spatial sky telluric CO2 absorption deviations (filled: H < 10)
|
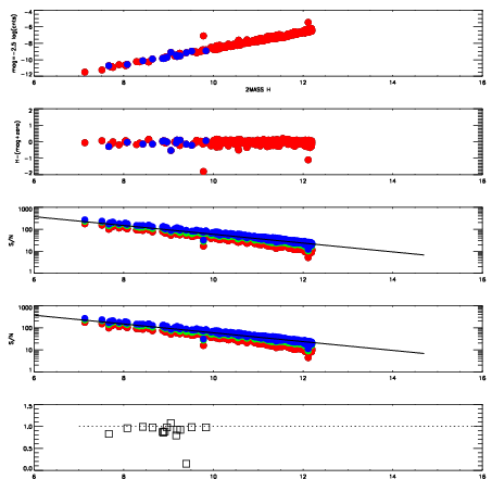
18150044
| 47
| | Red | Green | Blue
| z | | 18.69
| znorm | | 14.51
| sky | 14.7 | 14.4 | 14.9
| S/N | 11.8 | 19.7 | 23.2
| S/N(c) | 19.8 | 11.4 | 10.9
| SN(E/C) | 0.92
|
|
|
|
|
|
|
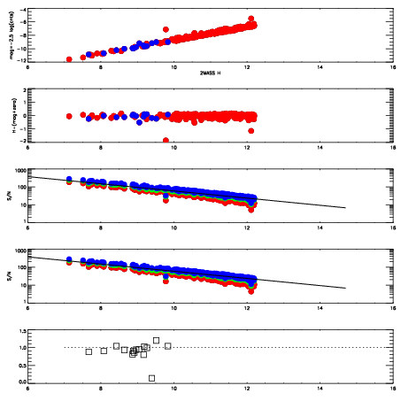
18150045
| 47
| | Red | Green | Blue
| z | | 18.77
| znorm | | 14.59
| sky | 15.2 | 14.6 | 14.9
| S/N | 12.3 | 20.8 | 23.6
| S/N(c) | 20.6 | 11.7 | 11.3
| SN(E/C) | 0.93
|
|
|
|
|
|
|
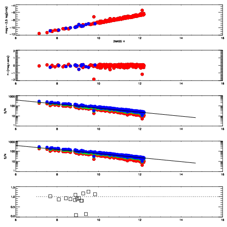
18150046
| 47
| | Red | Green | Blue
| z | | 18.81
| znorm | | 14.63
| sky | 14.9 | 14.8 | 15.0
| S/N | 12.3 | 21.1 | 24.0
| S/N(c) | 20.9 | 12.0 | 11.5
| SN(E/C) | 0.91
|
|
|
|
|
|
|
18150047
| 47
| | Red | Green | Blue
| z | | 18.76
| znorm | | 14.58
| sky | 15.4 | 15.1 | 14.8
| S/N | 12.3 | 20.5 | 23.8
| S/N(c) | 20.3 | 11.7 | 11.2
| SN(E/C) | 0.89
|
|
|
|
|
|
|
18150048
| 47
| | Red | Green | Blue
| z | | 18.84
| znorm | | 14.66
| sky | 15.2 | 14.9 | 14.9
| S/N | 12.6 | 21.5 | 24.1
| S/N(c) | 21.2 | 12.2 | 11.5
| SN(E/C) | 0.95
|
|
|
|
|
|
|
18150049
| 47
| | Red | Green | Blue
| z | | 18.84
| znorm | | 14.66
| sky | 15.3 | 14.9 | 14.9
| S/N | 13.0 | 21.6 | 24.8
| S/N(c) | 21.4 | 12.1 | 11.7
| SN(E/C) | 0.99
|
|
|
|
|
|
|
18150050
| 47
| | Red | Green | Blue
| z | | 18.91
| znorm | | 14.73
| sky | 15.0 | 14.8 | 14.9
| S/N | 13.3 | 22.3 | 25.8
| S/N(c) | 22.4 | 12.7 | 12.2
| SN(E/C) | 0.90
|
|
|
|
|
|
|
18150051
| 47
| | Red | Green | Blue
| z | | 18.88
| znorm | | 14.70
| sky | 15.2 | 15.0 | 15.0
| S/N | 13.3 | 21.9 | 25.3
| S/N(c) | 21.8 | 12.4 | 11.9
| SN(E/C) | 0.93
|
|
|
|
|
|
|