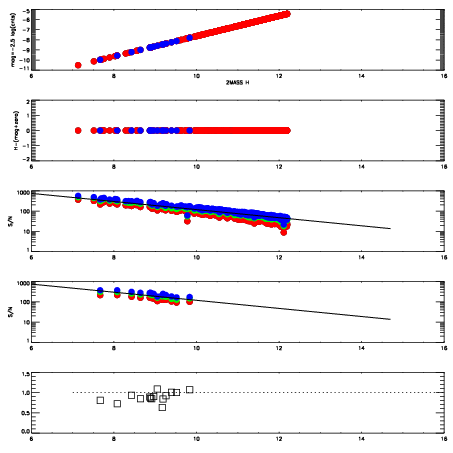
Left plots: red are targets, blue are telluric. Observed mags are calculated from median value of green chip. Zeropoint gives overall throughput: bigger number is more throughput.
First spatial plots: circles are objects, squares are tellurics, crosses are sky fibers. Colors give deviation of observed mag from expected 2MASS mag using the median zeropoint; red is brighter
Second spatial plots: circles are sky fibers. Colors give sky line brightness relative to plate median sky line brightness
FrameNreadsZeropointsMag plots Spatial mag deviation Spatial sky 16325A emission deviations (filled: sky, open: star) Spatial sky continuum emission Spatial sky telluric CO2 absorption deviations (filled: H < 10)
0 0
RedGreenBlue
z17.64
znorm Inf
sky -NaN -NaN -Inf
S/N 22.4 39.5 45.8
S/N(c) 0.0 0.0 0.0
SN(E/C) 0.89

IPAIRNAMESHIFTNEWSHIFTS/N NAMESHIFTNEWSHIFTS/N
0 18150049 0.503025 0.00000 18.8321 18150048 0.00128428 0.501741 18.8192
1 18150050 0.502931 9.39965e-05 18.8940 18150051 0.00127227 0.501753 18.8623
2 18150046 0.501175 0.00185001 18.7918 18150047 0.000745059 0.502280 18.7427
3 18150045 0.500739 0.00228602 18.7552 18150044 0.00000 0.503025 18.6775