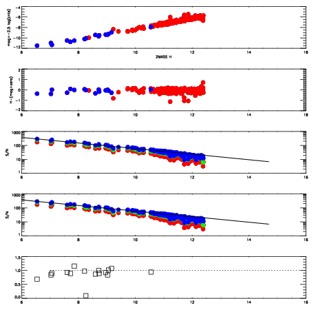
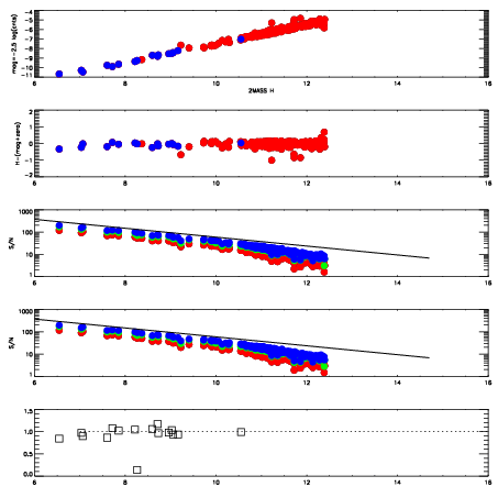
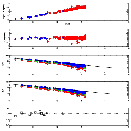
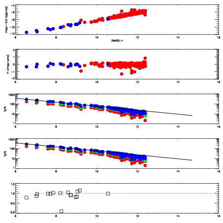
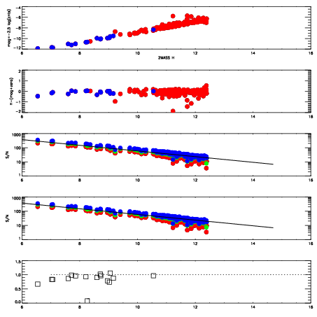
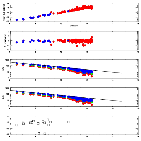
Frame | Nreads | Zeropoints | Mag plots
| Spatial mag deviation
| Spatial sky 16325A emission deviations (filled: sky, open: star)
| Spatial sky continuum emission
| Spatial sky telluric CO2 absorption deviations (filled: H < 10)
|
18440020
| 47
| | Red | Green | Blue
| z | | 18.06
| znorm | | 13.88
| sky | 13.6 | 13.5 | 13.4
| S/N | 7.6 | 12.4 | 13.8
| S/N(c) | 7.7 | 11.0 | 13.9
| SN(E/C) | 0.97
|
|
|
|
|
|
|
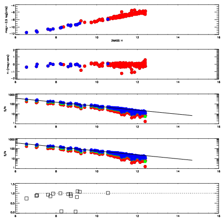
18440021
| 47
| | Red | Green | Blue
| z | | 18.29
| znorm | | 14.11
| sky | 13.7 | 13.6 | 13.5
| S/N | 8.9 | 14.5 | 15.8
| S/N(c) | 9.1 | 12.7 | 16.2
| SN(E/C) | 0.97
|
|
|
|
|
|
|
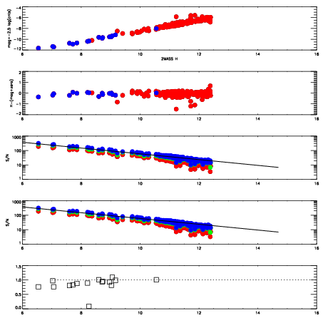
18440022
| 47
| | Red | Green | Blue
| z | | 18.38
| znorm | | 14.20
| sky | 13.9 | 13.9 | 13.8
| S/N | 9.6 | 15.4 | 17.7
| S/N(c) | 9.8 | 13.6 | 17.3
| SN(E/C) | 0.92
|
|
|
|
|
|
|
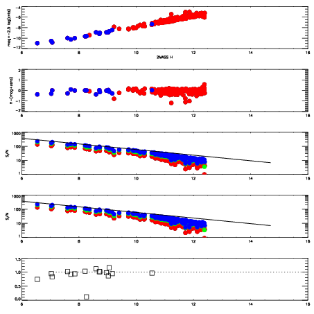
18440023
| 47
| | Red | Green | Blue
| z | | 18.38
| znorm | | 14.20
| sky | 14.1 | 13.9 | 13.8
| S/N | 9.7 | 15.7 | 17.4
| S/N(c) | 9.7 | 13.6 | 17.2
| SN(E/C) | 0.93
|
|
|
|
|
|
|
18440024
| 47
| | Red | Green | Blue
| z | | 17.87
| znorm | | 13.69
| sky | 13.6 | 13.5 | 13.4
| S/N | 6.1 | 10.7 | 11.5
| S/N(c) | 6.5 | 9.5 | 12.0
| SN(E/C) | 0.97
|
|
|
|
|
|
|
18440025
| 47
| | Red | Green | Blue
| z | | 17.54
| znorm | | 13.36
| sky | 13.4 | 13.5 | 13.4
| S/N | 4.6 | 8.5 | 9.2
| S/N(c) | 5.2 | 7.8 | 9.8
| SN(E/C) | 0.97
|
|
|
|
|
|
|
18440026
| 47
| | Red | Green | Blue
| z | | 18.34
| znorm | | 14.16
| sky | 14.0 | 14.0 | 14.0
| S/N | 9.0 | 15.8 | 17.2
| S/N(c) | 9.5 | 13.5 | 17.1
| SN(E/C) | 0.99
|
|
|
|
|
|
|
18440027
| 47
| | Red | Green | Blue
| z | | 18.56
| znorm | | 14.38
| sky | 14.2 | 14.3 | 14.2
| S/N | 11.2 | 17.9 | 20.0
| S/N(c) | 11.2 | 15.5 | 19.6
| SN(E/C) | 0.93
|
|
|
|
|
|
|
18440028
| 47
| | Red | Green | Blue
| z | | 18.30
| znorm | | 14.12
| sky | 13.6 | 13.6 | 13.5
| S/N | 8.5 | 14.7 | 16.1
| S/N(c) | 8.9 | 12.6 | 16.1
| SN(E/C) | 0.94
|
|
|
|
|
|
|
18440029
| 47
| | Red | Green | Blue
| z | | 18.87
| znorm | | 14.69
| sky | 14.7 | 14.7 | 14.8
| S/N | 13.9 | 22.3 | 24.9
| S/N(c) | 13.6 | 18.3 | 23.5
| SN(E/C) | 0.90
|
|
|
|
|
|
|