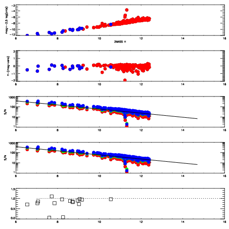
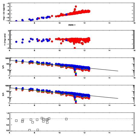
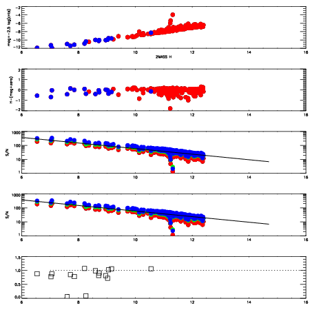
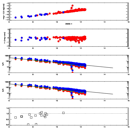
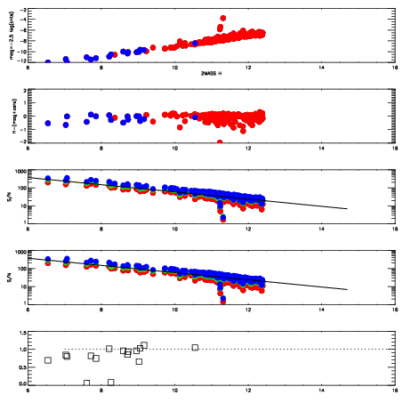
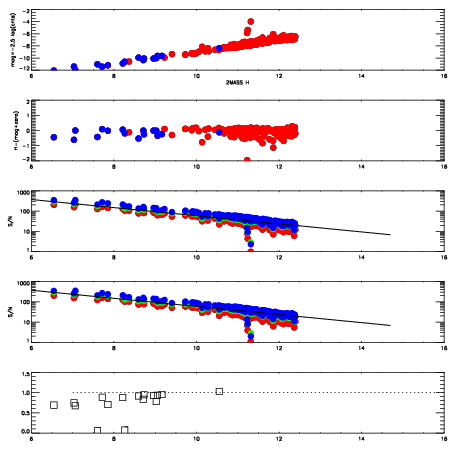
Frame | Nreads | Zeropoints | Mag plots
| Spatial mag deviation
| Spatial sky 16325A emission deviations (filled: sky, open: star)
| Spatial sky continuum emission
| Spatial sky telluric CO2 absorption deviations (filled: H < 10)
|
18490013
| 47
| | Red | Green | Blue
| z | | 18.99
| znorm | | 14.81
| sky | 14.0 | 13.7 | 13.7
| S/N | 15.3 | 23.8 | 25.6
| S/N(c) | 15.5 | 18.9 | 25.7
| SN(E/C) | 0.91
|
|
|
|
|
|
|
18490014
| 47
| | Red | Green | Blue
| z | | 18.98
| znorm | | 14.80
| sky | 14.1 | 13.9 | 13.8
| S/N | 14.7 | 23.2 | 25.4
| S/N(c) | 15.2 | 18.7 | 25.7
| SN(E/C) | 0.88
|
|
|
|
|
|
|
18490015
| 47
| | Red | Green | Blue
| z | | 19.05
| znorm | | 14.87
| sky | 14.2 | 14.0 | 13.9
| S/N | 15.3 | 24.0 | 26.6
| S/N(c) | 16.0 | 19.6 | 26.8
| SN(E/C) | 0.85
|
|
|
|
|
|
|
18490016
| 47
| | Red | Green | Blue
| z | | 19.07
| znorm | | 14.89
| sky | 14.3 | 14.0 | 13.9
| S/N | 15.4 | 24.2 | 26.5
| S/N(c) | 16.1 | 19.8 | 27.3
| SN(E/C) | 0.85
|
|
|
|
|
|
|
18490017
| 47
| | Red | Green | Blue
| z | | 19.11
| znorm | | 14.93
| sky | 14.3 | 14.0 | 13.9
| S/N | 15.8 | 24.9 | 27.7
| S/N(c) | 16.5 | 20.3 | 27.8
| SN(E/C) | 0.83
|
|
|
|
|
|
|
18490018
| 47
| | Red | Green | Blue
| z | | 19.05
| znorm | | 14.87
| sky | 14.1 | 13.9 | 13.8
| S/N | 15.1 | 24.0 | 26.3
| S/N(c) | 16.0 | 19.7 | 26.9
| SN(E/C) | 0.88
|
|
|
|
|
|
|
18490019
| 47
| | Red | Green | Blue
| z | | 19.02
| znorm | | 14.84
| sky | 14.0 | 13.8 | 13.7
| S/N | 14.8 | 23.5 | 25.9
| S/N(c) | 15.5 | 19.2 | 26.4
| SN(E/C) | 0.89
|
|
|
|
|
|
|
18490020
| 47
| | Red | Green | Blue
| z | | 19.01
| znorm | | 14.83
| sky | 14.3 | 14.0 | 14.0
| S/N | 14.6 | 23.3 | 25.6
| S/N(c) | 15.6 | 19.1 | 26.3
| SN(E/C) | 0.83
|
|
|
|
|
|
|