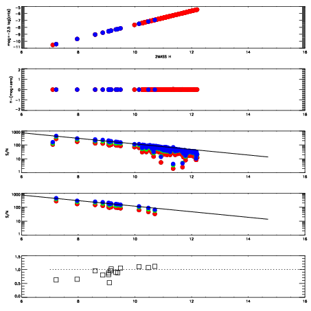
Left plots: red are targets, blue are telluric. Observed mags are calculated from median value of green chip. Zeropoint gives overall throughput: bigger number is more throughput.
First spatial plots: circles are objects, squares are tellurics, crosses are sky fibers. Colors give deviation of observed mag from expected 2MASS mag using the median zeropoint; red is brighter
Second spatial plots: circles are sky fibers. Colors give sky line brightness relative to plate median sky line brightness
FrameNreadsZeropointsMag plots Spatial mag deviation Spatial sky 16325A emission deviations (filled: sky, open: star) Spatial sky continuum emission Spatial sky telluric CO2 absorption deviations (filled: H < 10)
0 0
RedGreenBlue
z17.64
znorm Inf
sky -Inf -Inf -Inf
S/N 16.8 29.1 32.0
S/N(c) 0.0 0.0 0.0
SN(E/C) 0.90

IPAIRNAMESHIFTNEWSHIFTS/N NAMESHIFTNEWSHIFTS/N
0 18490030 0.502977 0.00000 18.1131 18490028 0.00164291 0.501334 18.0791
1 18490026 0.502414 0.000563025 18.6773 18490024 0.00000 0.502977 18.7324
2 18490025 0.502427 0.000550032 18.5185 18490027 0.00165881 0.501318 18.4425
3 18490029 0.502968 9.00030e-06 17.7304 18490031 0.00171957 0.501257 17.9911