PLATE:8889 MJD: 57391 FIELD: 210+60

FrameCartsec zseeingNreadsDitherPixshiftZerosky continuumS/NS/N(cframe)
18290022 3 1.01 1.69 47 0.00 0.00 17.84 [15.07,14.88,14.73] [ 9.6, 16.0, 18.3] [ 5.2, 13.4, 11.9]
18290023 3 1.01 1.57 47 0.50 0.00 17.57 [15.02,14.70,14.79] [ 8.0, 13.7, 15.7] [ 4.3, 11.3, 10.1]
18290024 3 1.01 1.45 47 0.50 -0.00 17.91 [14.71,14.80,15.09] [ 10.2, 16.9, 19.4] [ 5.2, 13.3, 11.8]
18290025 3 1.02 1.59 47 0.00 -0.00 17.76 [15.15,14.97,14.88] [ 8.8, 15.2, 17.4] [ 4.9, 12.7, 11.3]
18290026 3 1.02 1.95 47 0.00 0.00 18.26 [14.98,14.91,14.90] [ 12.1, 19.8, 22.7] [ 6.5, 16.2, 14.4]
18290027 3 1.02 1.90 47 0.50 -0.00 18.45 [15.18,15.06,14.79] [ 13.9, 22.0, 25.3] [ 7.2, 17.8, 15.8]
18290028 3 1.03 1.92 47 0.50 -0.00 18.44 [15.10,15.14,15.00] [ 13.7, 21.9, 25.2] [ 7.1, 17.6, 15.6]
18290029 3 1.04 1.83 47 0.00 -0.00 18.63 [15.06,14.97,15.00] [ 15.7, 24.6, 28.4] [ 7.9, 19.5, 17.3]
18290030 3 1.05 1.80 47 0.00 -0.00 18.49 [15.41,15.22,15.16] [ 14.8, 23.3, 26.8] [ 7.5, 18.5, 16.3]
18290031 3 1.06 1.85 47 0.50 0.00 18.62 [15.14,15.03,15.07] [ 15.9, 24.9, 28.5] [ 7.9, 19.4, 17.2]
18290032 3 1.07 2.06 47 0.50 0.00 18.79 [15.65,15.34,14.95] [ 17.1, 26.5, 30.5] [ 8.3, 20.5, 18.2]
18290033 3 1.08 1.43 47 0.00 0.00 18.69 [15.03,14.94,15.07] [ 16.4, 25.6, 29.5] [ 8.0, 19.8, 17.6]
18290034 3 1.10 1.40 47 0.00 0.00 18.84 [15.53,15.26,14.94] [ 18.0, 27.9, 32.2] [ 8.7, 21.5, 19.0]
18290035 3 1.11 1.35 47 0.51 0.00 18.78 [15.00,15.08,15.19] [ 17.7, 27.3, 31.5] [ 8.5, 21.0, 18.6]
18290036 3 1.13 1.57 47 0.51 -0.00 18.81 [15.05,15.03,14.83] [ 18.1, 27.9, 32.3] [ 8.6, 21.2, 18.9]
18290037 3 1.15 1.26 47 0.00 0.00 18.85 [15.26,14.94,15.03] [ 18.1, 27.7, 32.0] [ 8.9, 21.8, 19.4]

IPAIRNAMESHIFTNEWSHIFTS/N NAMESHIFTNEWSHIFTS/N
0 18290035 0.505 0.000 18.72 18290033 0.003 0.502 18.63
1 18290036 0.505 0.000 18.75 18290034 0.003 0.502 18.78
2 18290032 0.505 0.000 18.72 18290037 0.005 0.501 18.77
3 18290031 0.505 0.001 18.58 18290029 0.003 0.503 18.59
4 18290028 0.504 0.001 18.41 18290030 0.002 0.503 18.45
5 18290027 0.504 0.002 18.38 18290026 0.001 0.505 18.21
6 18290024 0.504 0.002 17.86 18290022 0.000 0.505 17.80
7 18290023 0.503 0.002 17.53 18290025 0.001 0.505 17.71

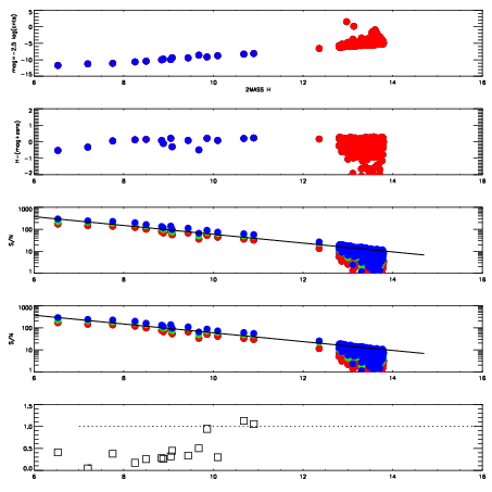
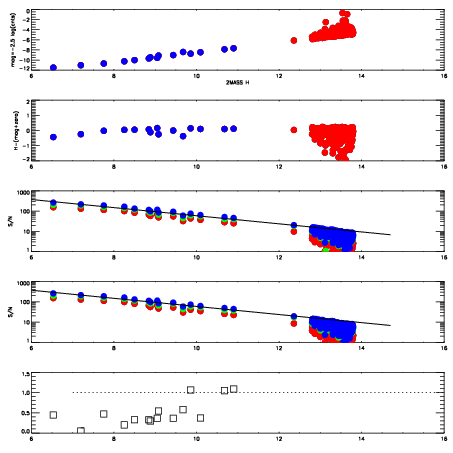
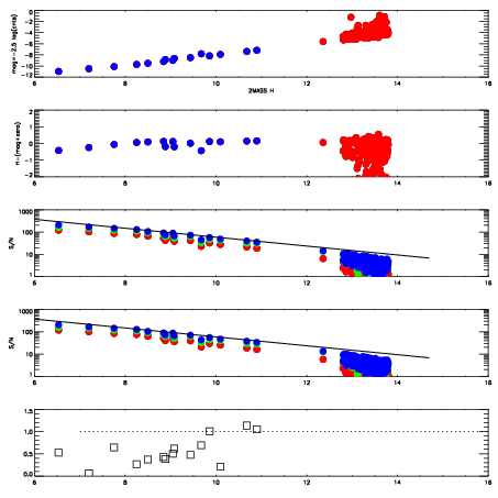
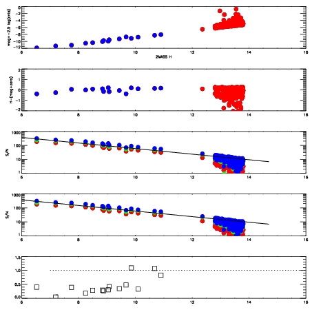
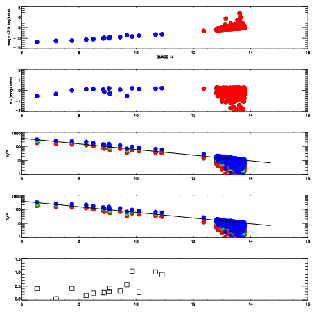
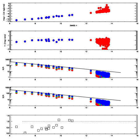
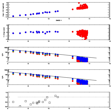
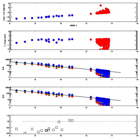
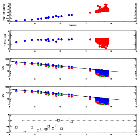
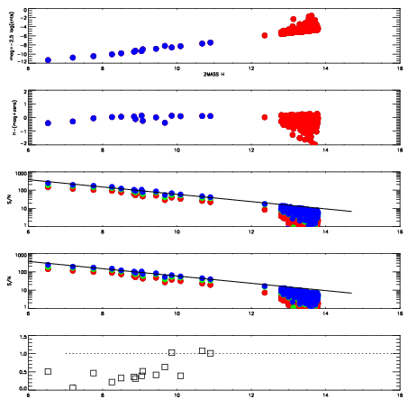
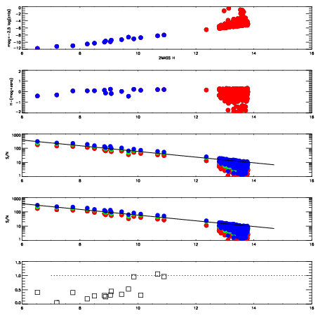
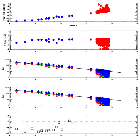
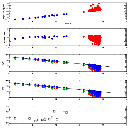
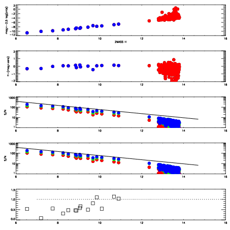
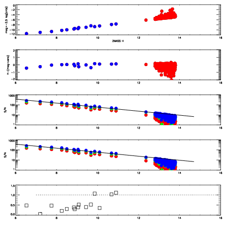
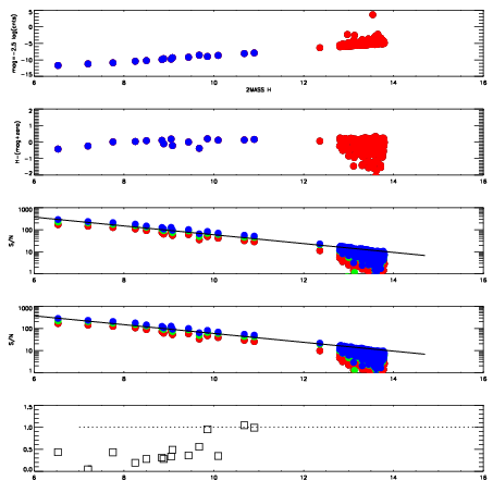
Visit (multiple exposure and dither combined) spectra

FrameZeropointsMag plots Spatial mag deviation Spatial sky telluric CH4 Spatial sky telluric CO2 Spatial sky telluric H2O Spatial sky 16325A emission deviations (filled: sky, open: star) Spatial sky continuum emission
18290022
RedGreenBlue
z17.84
znorm13.66
sky 15.1 14.9 14.7
S/N 9.6 16.0 18.3
S/N(c) 5.2 13.4 11.9
SN(E/C) 0.51
18290023
RedGreenBlue
z17.57
znorm13.39
sky 15.0 14.7 14.8
S/N 8.0 13.7 15.7
S/N(c) 4.3 11.3 10.1
SN(E/C) 0.54
18290024
RedGreenBlue
z17.91
znorm13.73
sky 14.7 14.8 15.1
S/N 10.2 16.9 19.4
S/N(c) 5.2 13.3 11.8
SN(E/C) 0.50
18290025
RedGreenBlue
z17.76
znorm13.58
sky 15.1 15.0 14.9
S/N 8.8 15.2 17.4
S/N(c) 4.9 12.7 11.3
SN(E/C) 0.51
18290026
RedGreenBlue
z18.26
znorm14.08
sky 15.0 14.9 14.9
S/N 12.1 19.8 22.7
S/N(c) 6.5 16.2 14.4
SN(E/C) 0.41
18290027
RedGreenBlue
z18.45
znorm14.27
sky 15.2 15.1 14.8
S/N 13.9 22.0 25.3
S/N(c) 7.2 17.8 15.8
SN(E/C) 0.37
18290028
RedGreenBlue
z18.44
znorm14.26
sky 15.1 15.1 15.0
S/N 13.7 21.9 25.2
S/N(c) 7.1 17.6 15.6
SN(E/C) 0.40
18290029
RedGreenBlue
z18.63
znorm14.45
sky 15.1 15.0 15.0
S/N 15.7 24.6 28.4
S/N(c) 7.9 19.5 17.3
SN(E/C) 0.36
18290030
RedGreenBlue
z18.49
znorm14.31
sky 15.4 15.2 15.2
S/N 14.8 23.3 26.8
S/N(c) 7.5 18.5 16.3
SN(E/C) 0.36
18290031
RedGreenBlue
z18.62
znorm14.44
sky 15.1 15.0 15.1
S/N 15.9 24.9 28.5
S/N(c) 7.9 19.4 17.2
SN(E/C) 0.35
18290032
RedGreenBlue
z18.79
znorm14.61
sky 15.6 15.3 14.9
S/N 17.1 26.5 30.5
S/N(c) 8.3 20.5 18.2
SN(E/C) 0.35
18290033
RedGreenBlue
z18.69
znorm14.51
sky 15.0 14.9 15.1
S/N 16.4 25.6 29.5
S/N(c) 8.0 19.8 17.6
SN(E/C) 0.34
18290034
RedGreenBlue
z18.84
znorm14.66
sky 15.5 15.3 14.9
S/N 18.0 27.9 32.2
S/N(c) 8.7 21.5 19.0
SN(E/C) 0.33
18290035
RedGreenBlue
z18.78
znorm14.60
sky 15.0 15.1 15.2
S/N 17.7 27.3 31.5
S/N(c) 8.5 21.0 18.6
SN(E/C) 0.33
18290036
RedGreenBlue
z18.81
znorm14.63
sky 15.0 15.0 14.8
S/N 18.1 27.9 32.3
S/N(c) 8.6 21.2 18.9
SN(E/C) 0.32
18290037
RedGreenBlue
z18.85
znorm14.67
sky 15.3 14.9 15.0
S/N 18.1 27.7 32.0
S/N(c) 8.9 21.8 19.4
SN(E/C) 0.33