PLATE:8889 MJD: 57471 FIELD: 210+60

FrameCartsec zseeingNreadsDitherPixshiftZerosky continuumS/NS/N(cframe)
19090024 8 1.14 1.98 47 0.00 -0.00 18.46 [14.93,14.85,14.80] [ 13.1, 20.7, 23.6] [ 7.3, 18.0, 0.4]
19090025 8 1.12 2.24 47 0.51 -0.00 18.62 [15.44,14.89,14.98] [ 14.6, 22.5, 25.7] [ 7.7, 18.9, 0.4]
19090026 8 1.10 2.11 47 0.51 0.00 18.62 [15.10,14.90,15.01] [ 14.3, 22.3, 25.5] [ 7.7, 19.0, 0.4]
19090027 8 1.09 1.81 47 0.00 0.00 18.70 [14.89,14.87,14.89] [ 15.0, 23.3, 26.7] [ 8.1, 19.7, 0.4]
19090028 8 1.08 2.08 47 0.00 -0.00 18.64 [15.05,15.14,14.85] [ 14.4, 22.4, 25.5] [ 7.8, 19.2, 0.4]
19090029 8 1.06 1.91 47 0.51 0.00 18.65 [15.08,15.13,14.84] [ 14.4, 22.4, 25.6] [ 7.8, 19.1, 0.4]
19090030 8 1.05 1.81 47 0.52 -0.00 18.74 [15.29,15.04,14.85] [ 15.2, 23.5, 27.0] [ 8.2, 20.0, 0.4]
19090031 8 1.04 1.87 47 0.00 -0.00 18.68 [15.19,15.14,15.08] [ 14.6, 22.8, 26.1] [ 8.0, 19.6, 0.4]

IPAIRNAMESHIFTNEWSHIFTS/N NAMESHIFTNEWSHIFTS/N
0 19090030 0.515 0.000 18.69 19090027 0.002 0.513 18.66
1 19090029 0.514 0.001 18.60 19090031 0.005 0.510 18.65
2 19090026 0.514 0.001 18.60 19090028 0.003 0.512 18.60
3 19090025 0.514 0.001 18.59 19090024 0.000 0.515 18.45

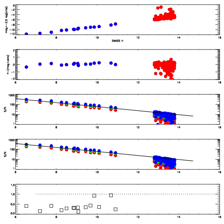
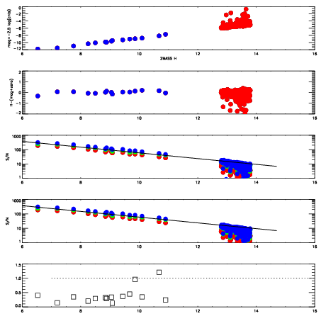
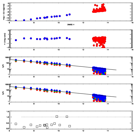
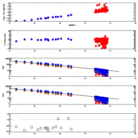
Visit (multiple exposure and dither combined) spectra

FrameZeropointsMag plots Spatial mag deviation Spatial sky telluric CH4 Spatial sky telluric CO2 Spatial sky telluric H2O Spatial sky 16325A emission deviations (filled: sky, open: star) Spatial sky continuum emission
19090024
RedGreenBlue
z18.46
znorm14.28
sky 14.9 14.9 14.8
S/N 13.1 20.7 23.6
S/N(c) 7.3 18.0 0.4
SN(E/C) 0.36
19090025
RedGreenBlue
z18.62
znorm14.44
sky 15.4 14.9 15.0
S/N 14.6 22.5 25.7
S/N(c) 7.7 18.9 0.4
SN(E/C) 0.33
19090026
RedGreenBlue
z18.62
znorm14.44
sky 15.1 14.9 15.0
S/N 14.3 22.3 25.5
S/N(c) 7.7 19.0 0.4
SN(E/C) 0.33
19090027
RedGreenBlue
z18.70
znorm14.52
sky 14.9 14.9 14.9
S/N 15.0 23.3 26.7
S/N(c) 8.1 19.7 0.4
SN(E/C) 0.32
19090028
RedGreenBlue
z18.64
znorm14.46
sky 15.0 15.1 14.8
S/N 14.4 22.4 25.5
S/N(c) 7.8 19.2 0.4
SN(E/C) 0.33
19090029
RedGreenBlue
z18.65
znorm14.47
sky 15.1 15.1 14.8
S/N 14.4 22.4 25.6
S/N(c) 7.8 19.1 0.4
SN(E/C) 0.34
19090030
RedGreenBlue
z18.74
znorm14.56
sky 15.3 15.0 14.9
S/N 15.2 23.5 27.0
S/N(c) 8.2 20.0 0.4
SN(E/C) 0.32
19090031
RedGreenBlue
z18.68
znorm14.50
sky 15.2 15.1 15.1
S/N 14.6 22.8 26.1
S/N(c) 8.0 19.6 0.4
SN(E/C) 0.32