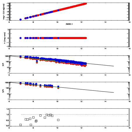
Left plots: red are targets, blue are telluric. Observed mags are calculated from median value of green chip. Zeropoint gives overall throughput: bigger number is more throughput.
First spatial plots: circles are objects, squares are tellurics, crosses are sky fibers. Colors give deviation of observed mag from expected 2MASS mag using the median zeropoint; red is brighter
Second spatial plots: circles are sky fibers. Colors give sky line brightness relative to plate median sky line brightness
FrameNreadsZeropointsMag plots Spatial mag deviation Spatial sky 16325A emission deviations (filled: sky, open: star) Spatial sky continuum emission Spatial sky telluric CO2 absorption deviations (filled: H < 10)
0 0
RedGreenBlue
z17.64
znorm Inf
sky -Inf -Inf -Inf
S/N 30.5 48.8 53.9
S/N(c) 0.0 0.0 0.0
SN(E/C) 0.62

IPAIRNAMESHIFTNEWSHIFTS/N NAMESHIFTNEWSHIFTS/N
0 18810013 0.509153 0.00000 18.9048 18810014 0.00142934 0.507724 18.8882
1 18810016 0.507301 0.00185204 18.9685 18810015 0.00179459 0.507358 18.9569
2 18810021 0.507188 0.00196499 18.9212 18810022 0.00171391 0.507439 18.9450
3 18810020 0.507108 0.00204504 18.8535 18810011 0.00000 0.509153 18.8864
4 18810017 0.507457 0.00169599 18.8259 18810019 0.00107007 0.508083 18.8601
5 18810012 0.508986 0.000167012 18.7948 18810018 0.00137454 0.507778 18.8460