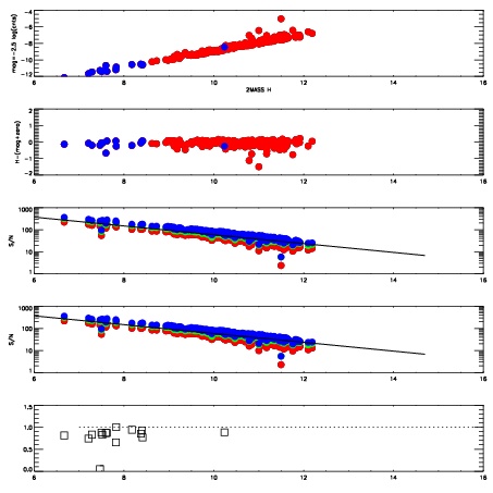
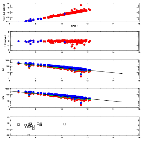
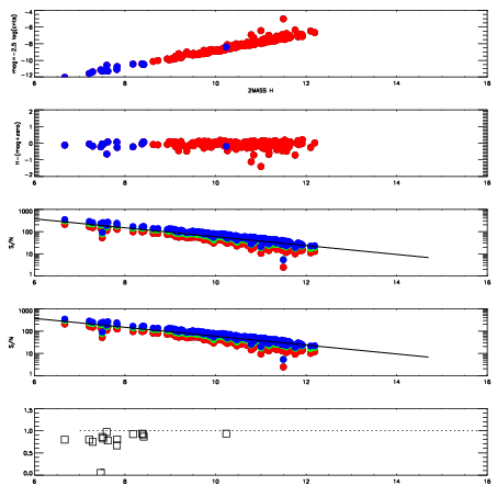
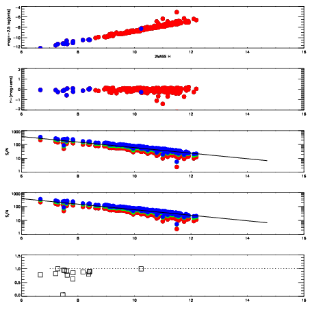
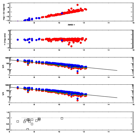
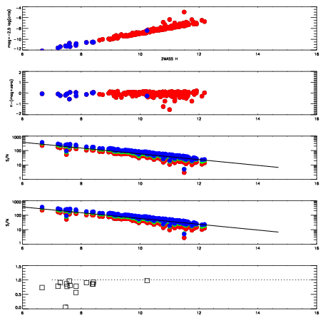
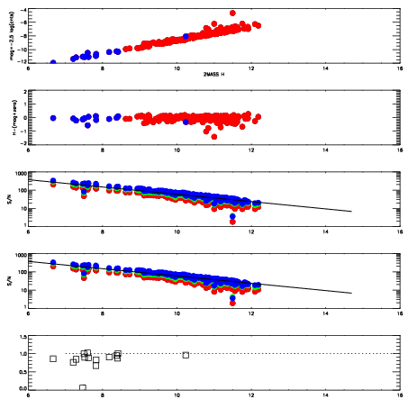
Frame | Nreads | Zeropoints | Mag plots
| Spatial mag deviation
| Spatial sky 16325A emission deviations (filled: sky, open: star)
| Spatial sky continuum emission
| Spatial sky telluric CO2 absorption deviations (filled: H < 10)
|
18480029
| 47
| | Red | Green | Blue
| z | | 18.65
| znorm | | 14.47
| sky | 13.6 | 13.4 | 13.3
| S/N | 13.1 | 20.8 | 23.0
| S/N(c) | 15.8 | 20.9 | 23.7
| SN(E/C) | 0.88
|
|
|
|
|
|
|
18480030
| 47
| | Red | Green | Blue
| z | | 18.76
| znorm | | 14.58
| sky | 13.7 | 13.7 | 13.5
| S/N | 13.6 | 22.1 | 23.8
| S/N(c) | 16.9 | 22.5 | 25.0
| SN(E/C) | 0.88
|
|
|
|
|
|
|
18480031
| 47
| | Red | Green | Blue
| z | | 18.90
| znorm | | 14.72
| sky | 13.8 | 13.7 | 13.6
| S/N | 14.9 | 23.9 | 25.8
| S/N(c) | 18.6 | 24.4 | 27.3
| SN(E/C) | 0.85
|
|
|
|
|
|
|
18480032
| 47
| | Red | Green | Blue
| z | | 19.04
| znorm | | 14.86
| sky | 14.5 | 14.2 | 14.1
| S/N | 16.8 | 26.3 | 28.8
| S/N(c) | 20.5 | 26.5 | 29.5
| SN(E/C) | 0.88
|
|
|
|
|
|
|
18480033
| 47
| | Red | Green | Blue
| z | | 19.08
| znorm | | 14.90
| sky | 14.4 | 14.3 | 14.4
| S/N | 17.3 | 27.2 | 29.8
| S/N(c) | 21.1 | 27.3 | 30.4
| SN(E/C) | 0.82
|
|
|
|
|
|
|
18480034
| 47
| | Red | Green | Blue
| z | | 18.95
| znorm | | 14.77
| sky | 14.2 | 14.1 | 14.1
| S/N | 15.6 | 25.3 | 27.6
| S/N(c) | 19.3 | 25.3 | 28.1
| SN(E/C) | 0.85
|
|
|
|
|
|
|
18480035
| 47
| | Red | Green | Blue
| z | | 18.83
| znorm | | 14.65
| sky | 13.9 | 13.8 | 13.7
| S/N | 14.5 | 23.2 | 25.1
| S/N(c) | 17.9 | 23.7 | 26.4
| SN(E/C) | 0.82
|
|
|
|
|
|
|
18480036
| 47
| | Red | Green | Blue
| z | | 18.93
| znorm | | 14.75
| sky | 14.1 | 13.9 | 13.8
| S/N | 15.6 | 24.9 | 27.0
| S/N(c) | 19.2 | 25.3 | 27.8
| SN(E/C) | 0.84
|
|
|
|
|
|
|