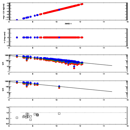
Left plots: red are targets, blue are telluric. Observed mags are calculated from median value of green chip. Zeropoint gives overall throughput: bigger number is more throughput.
First spatial plots: circles are objects, squares are tellurics, crosses are sky fibers. Colors give deviation of observed mag from expected 2MASS mag using the median zeropoint; red is brighter
Second spatial plots: circles are sky fibers. Colors give sky line brightness relative to plate median sky line brightness
FrameNreadsZeropointsMag plots Spatial mag deviation Spatial sky 16325A emission deviations (filled: sky, open: star) Spatial sky continuum emission Spatial sky telluric CO2 absorption deviations (filled: H < 10)
0 0
RedGreenBlue
z17.64
znorm Inf
sky -Inf -Inf -Inf
S/N 27.2 45.7 50.4
S/N(c) 0.0 0.0 0.0
SN(E/C) 0.70

IPAIRNAMESHIFTNEWSHIFTS/N NAMESHIFTNEWSHIFTS/N
0 18480031 0.503141 0.00000 18.8872 18480032 0.00168799 0.501453 19.0239
1 18480034 0.502705 0.000436008 18.9318 18480033 0.000978564 0.502162 19.0725
2 18480035 0.502509 0.000631988 18.8231 18480036 0.00171038 0.501431 18.9245
3 18480030 0.502782 0.000358999 18.7539 18480029 0.00000 0.503141 18.6429