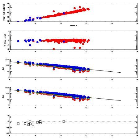
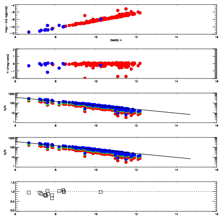
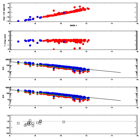
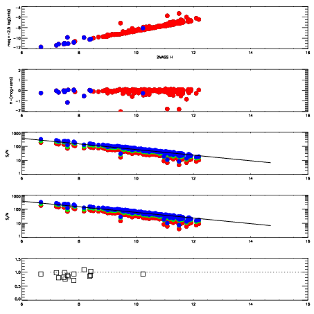
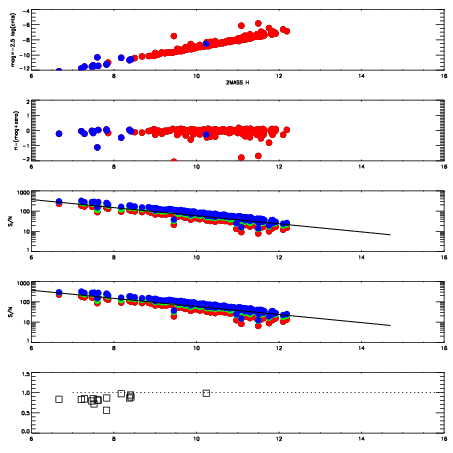
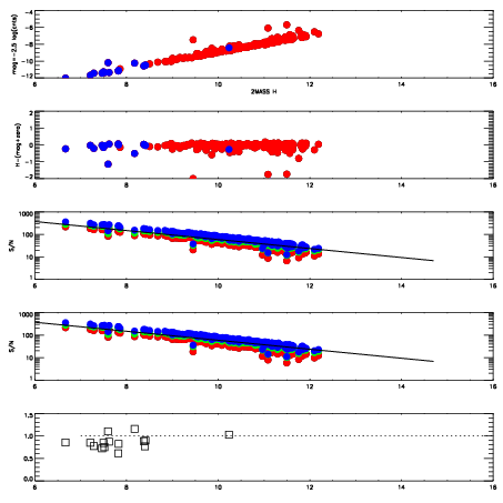
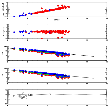
Frame | Nreads | Zeropoints | Mag plots
| Spatial mag deviation
| Spatial sky 16325A emission deviations (filled: sky, open: star)
| Spatial sky continuum emission
| Spatial sky telluric CO2 absorption deviations (filled: H < 10)
|
18490035
| 47
| | Red | Green | Blue
| z | | 18.43
| znorm | | 14.25
| sky | 13.3 | 13.1 | 13.1
| S/N | 9.9 | 15.8 | 17.5
| S/N(c) | 13.9 | 18.1 | 8.3
| SN(E/C) | 0.89
|
|
|
|
|
|
|
18490036
| 47
| | Red | Green | Blue
| z | | 18.91
| znorm | | 14.73
| sky | 14.2 | 13.9 | 14.0
| S/N | 14.0 | 22.5 | 24.4
| S/N(c) | 19.8 | 24.7 | 11.3
| SN(E/C) | 0.86
|
|
|
|
|
|
|
18490037
| 47
| | Red | Green | Blue
| z | | 19.01
| znorm | | 14.83
| sky | 14.1 | 13.9 | 13.8
| S/N | 15.2 | 23.9 | 25.8
| S/N(c) | 20.7 | 26.0 | 11.8
| SN(E/C) | 0.84
|
|
|
|
|
|
|
18490038
| 47
| | Red | Green | Blue
| z | | 18.92
| znorm | | 14.74
| sky | 13.8 | 13.7 | 13.7
| S/N | 14.0 | 22.6 | 24.2
| S/N(c) | 19.6 | 24.5 | 11.2
| SN(E/C) | 0.84
|
|
|
|
|
|
|
18490039
| 47
| | Red | Green | Blue
| z | | 18.60
| znorm | | 14.42
| sky | 13.4 | 13.2 | 13.2
| S/N | 11.0 | 17.8 | 19.1
| S/N(c) | 15.7 | 19.9 | 9.1
| SN(E/C) | 0.89
|
|
|
|
|
|
|
18490040
| 47
| | Red | Green | Blue
| z | | 18.76
| znorm | | 14.58
| sky | 13.5 | 13.4 | 13.4
| S/N | 12.1 | 19.7 | 21.3
| S/N(c) | 17.6 | 22.0 | 10.1
| SN(E/C) | 0.82
|
|
|
|
|
|
|
18490041
| 47
| | Red | Green | Blue
| z | | 18.69
| znorm | | 14.51
| sky | 13.5 | 13.4 | 13.4
| S/N | 11.8 | 19.0 | 20.2
| S/N(c) | 16.7 | 21.3 | 9.7
| SN(E/C) | 0.85
|
|
|
|
|
|
|
18490042
| 47
| | Red | Green | Blue
| z | | 18.38
| znorm | | 14.20
| sky | 13.1 | 13.0 | 12.9
| S/N | 8.7 | 14.7 | 15.6
| S/N(c) | 13.3 | 17.1 | 7.8
| SN(E/C) | 0.94
|
|
|
|
|
|
|