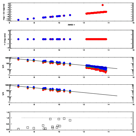
Left plots: red are targets, blue are telluric. Observed mags are calculated from median value of green chip. Zeropoint gives overall throughput: bigger number is more throughput.
First spatial plots: circles are objects, squares are tellurics, crosses are sky fibers. Colors give deviation of observed mag from expected 2MASS mag using the median zeropoint; red is brighter
Second spatial plots: circles are sky fibers. Colors give sky line brightness relative to plate median sky line brightness
FrameNreadsZeropointsMag plots Spatial mag deviation Spatial sky 16325A emission deviations (filled: sky, open: star) Spatial sky continuum emission Spatial sky telluric CO2 absorption deviations (filled: H < 10)
0 0
RedGreenBlue
z17.64
znorm Inf
sky -Inf -Inf -Inf
S/N 27.5 41.3 52.3
S/N(c) 37.9 69.8 68.0
SN(E/C) 0.27

IPAIRNAMESHIFTNEWSHIFTS/N NAMESHIFTNEWSHIFTS/N
0 18550051 0.493906 0.00000 18.8536 18550052 0.000621057 0.493285 18.8721
1 18550054 0.491921 0.00198498 18.9322 18550053 0.000188370 0.493718 18.9923
2 18550050 0.493274 0.000631988 18.8467 18550049 0.00000 0.493906 18.8442
3 18550055 0.491705 0.00220099 18.6491 18550056 0.00183479 0.492071 18.7724