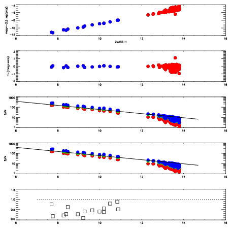
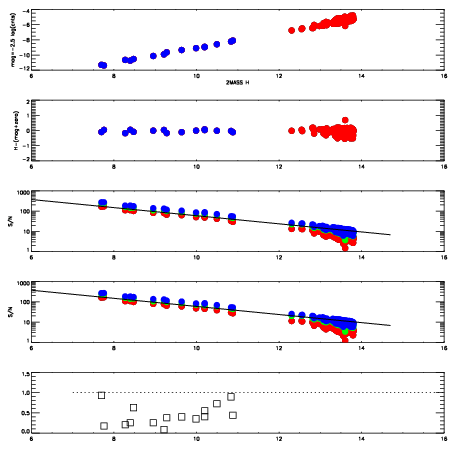
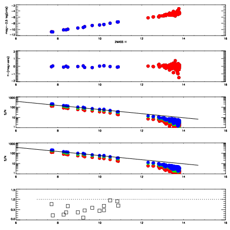
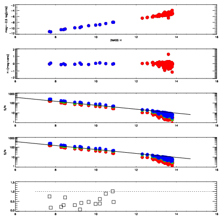
Left plots: red are targets, blue are telluric. Observed mags are calculated from median value of green chip. Zeropoint gives overall throughput: bigger number is more throughput.
First spatial plots: circles are objects, squares are tellurics, crosses are sky fibers. Colors give deviation of observed mag from expected 2MASS mag using the median zeropoint; red is brighter
Second spatial plots: circles are sky fibers. Colors give sky line brightness relative to plate median sky line brightness
FrameNreadsZeropointsMag plots Spatial mag deviation Spatial sky 16325A emission deviations (filled: sky, open: star) Spatial sky continuum emission Spatial sky telluric CO2 absorption deviations (filled: H < 10)
19070040 47
RedGreenBlue
z18.85
znorm14.67
sky 13.2 13.1 13.0
S/N 15.1 22.6 26.9
S/N(c) 16.1 0.3 11.7
SN(E/C) 0.42
19070041 47
RedGreenBlue
z18.51
znorm14.33
sky 12.5 12.5 12.3
S/N 11.2 17.0 19.9
S/N(c) 12.2 0.2 9.1
SN(E/C) 0.47
19070042 47
RedGreenBlue
z18.94
znorm14.76
sky 13.3 13.3 13.2
S/N 15.5 23.3 27.3
S/N(c) 16.9 0.3 12.4
SN(E/C) 0.41
19070043 47
RedGreenBlue
z19.09
znorm14.91
sky 14.5 14.3 14.2
S/N 17.9 26.7 30.4
S/N(c) 18.3 0.3 13.3
SN(E/C) 0.40