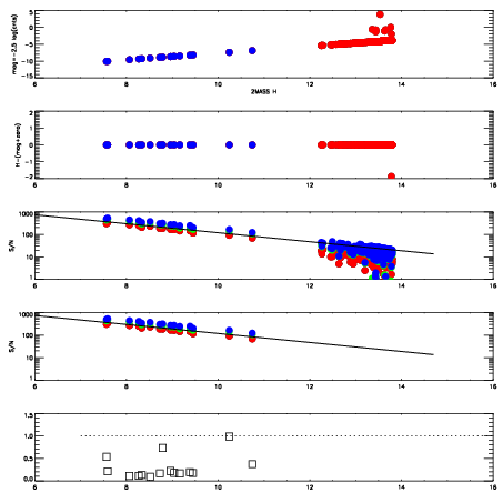
Left plots: red are targets, blue are telluric. Observed mags are calculated from median value of green chip. Zeropoint gives overall throughput: bigger number is more throughput.
First spatial plots: circles are objects, squares are tellurics, crosses are sky fibers. Colors give deviation of observed mag from expected 2MASS mag using the median zeropoint; red is brighter
Second spatial plots: circles are sky fibers. Colors give sky line brightness relative to plate median sky line brightness
FrameNreadsZeropointsMag plots Spatial mag deviation Spatial sky 16325A emission deviations (filled: sky, open: star) Spatial sky continuum emission Spatial sky telluric CO2 absorption deviations (filled: H < 10)
0 0
RedGreenBlue
z17.63
znorm Inf
sky -Inf -NaN -NaN
S/N 34.6 53.7 63.1
S/N(c) 52.3 44.7 71.2
SN(E/C) 0.18

IPAIRNAMESHIFTNEWSHIFTS/N NAMESHIFTNEWSHIFTS/N
0 19300034 0.504389 0.00000 19.0078 19300035 0.00162117 0.502768 19.0126
1 19300033 0.503482 0.000907004 18.9765 19300031 0.000694814 0.503694 18.9842
2 19300029 0.502781 0.00160801 18.9223 19300032 0.000678457 0.503711 18.9557
3 19300030 0.502307 0.00208199 18.9007 19300028 0.00000 0.504389 18.8289