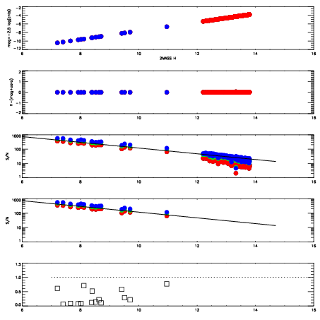
Left plots: red are targets, blue are telluric. Observed mags are calculated from median value of green chip. Zeropoint gives overall throughput: bigger number is more throughput.
First spatial plots: circles are objects, squares are tellurics, crosses are sky fibers. Colors give deviation of observed mag from expected 2MASS mag using the median zeropoint; red is brighter
Second spatial plots: circles are sky fibers. Colors give sky line brightness relative to plate median sky line brightness
FrameNreadsZeropointsMag plots Spatial mag deviation Spatial sky 16325A emission deviations (filled: sky, open: star) Spatial sky continuum emission Spatial sky telluric CO2 absorption deviations (filled: H < 10)
0 0
RedGreenBlue
z17.65
znorm Inf
sky -Inf -Inf -Inf
S/N 36.6 57.6 66.2
S/N(c) 30.4 49.0 60.4
SN(E/C) 0.21

IPAIRNAMESHIFTNEWSHIFTS/N NAMESHIFTNEWSHIFTS/N
0 18860078 0.00000 0.00000 18.9449 18860079 -0.512998 0.512998 18.9599
1 18860085 -0.00204235 0.00204235 19.0709 18860083 -0.512399 0.512399 19.0658
2 18860082 -0.000144255 0.000144255 18.9947 18860084 -0.512840 0.512840 19.0516
3 18860081 -0.000475913 0.000475913 18.9926 18860080 -0.513198 0.513198 18.9612