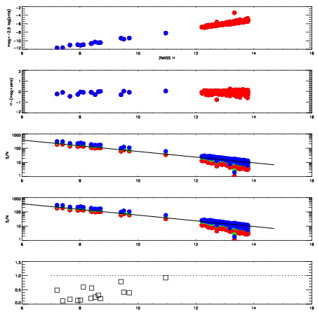
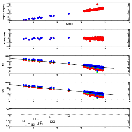
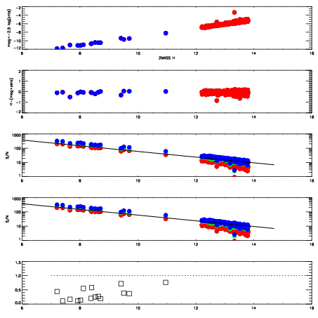
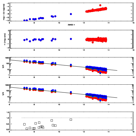
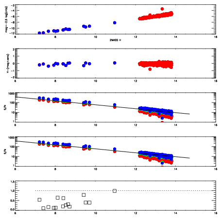
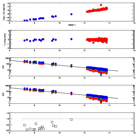
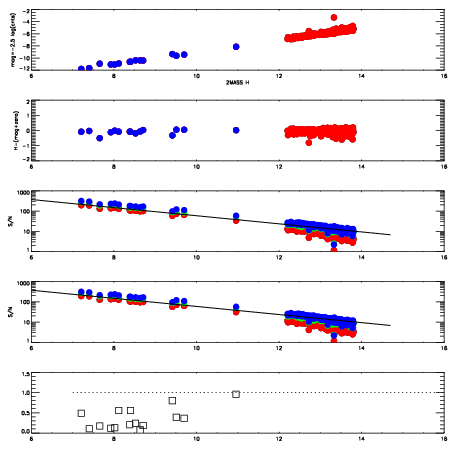
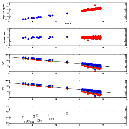
Frame | Nreads | Zeropoints | Mag plots
| Spatial mag deviation
| Spatial sky 16325A emission deviations (filled: sky, open: star)
| Spatial sky continuum emission
| Spatial sky telluric CO2 absorption deviations (filled: H < 10)
|
18880037
| 47
| | Red | Green | Blue
| z | | 19.06
| znorm | | 14.88
| sky | 15.2 | 14.8 | 15.2
| S/N | 19.9 | 29.8 | 34.4
| S/N(c) | 15.6 | 25.2 | 32.1
| SN(E/C) | 0.25
|
|
|
|
|
|
|
18880038
| 47
| | Red | Green | Blue
| z | | 19.08
| znorm | | 14.90
| sky | 15.3 | 15.0 | 15.5
| S/N | 19.8 | 29.8 | 34.3
| S/N(c) | 15.5 | 25.2 | 32.1
| SN(E/C) | 0.32
|
|
|
|
|
|
|
18880039
| 47
| | Red | Green | Blue
| z | | 19.05
| znorm | | 14.87
| sky | 15.5 | 15.1 | 15.3
| S/N | 19.4 | 29.4 | 33.9
| S/N(c) | 15.4 | 25.0 | 31.8
| SN(E/C) | 0.31
|
|
|
|
|
|
|
18880040
| 47
| | Red | Green | Blue
| z | | 19.11
| znorm | | 14.93
| sky | 15.0 | 15.2 | 15.2
| S/N | 19.9 | 30.1 | 34.4
| S/N(c) | 15.7 | 25.5 | 32.4
| SN(E/C) | 0.31
|
|
|
|
|
|
|
18880041
| 47
| | Red | Green | Blue
| z | | 19.07
| znorm | | 14.89
| sky | 15.3 | 15.3 | 15.2
| S/N | 19.7 | 29.7 | 34.1
| S/N(c) | 15.6 | 25.3 | 32.2
| SN(E/C) | 0.29
|
|
|
|
|
|
|
18880042
| 47
| | Red | Green | Blue
| z | | 19.08
| znorm | | 14.89
| sky | 15.4 | 15.2 | 15.3
| S/N | 19.4 | 29.4 | 33.8
| S/N(c) | 15.4 | 25.0 | 31.9
| SN(E/C) | 0.29
|
|
|
|
|
|
|
18880043
| 47
| | Red | Green | Blue
| z | | 19.05
| znorm | | 14.87
| sky | 15.4 | 15.3 | 15.2
| S/N | 19.4 | 29.3 | 33.6
| S/N(c) | 15.4 | 25.0 | 31.9
| SN(E/C) | 0.29
|
|
|
|
|
|
|
18880044
| 47
| | Red | Green | Blue
| z | | 19.12
| znorm | | 14.94
| sky | 15.2 | 15.3 | 15.3
| S/N | 19.8 | 29.8 | 34.1
| S/N(c) | 15.8 | 25.7 | 32.7
| SN(E/C) | 0.24
|
|
|
|
|
|
|
18880045
| 47
| | Red | Green | Blue
| z | | 19.15
| znorm | | 14.97
| sky | 15.4 | 15.6 | 15.2
| S/N | 19.9 | 30.0 | 34.5
| S/N(c) | 15.9 | 25.8 | 32.9
| SN(E/C) | 0.26
|
|
|
|
|
|
|
18880046
| 47
| | Red | Green | Blue
| z | | 19.08
| znorm | | 14.90
| sky | 15.3 | 15.3 | 15.2
| S/N | 19.2 | 29.2 | 33.4
| S/N(c) | 15.5 | 25.2 | 32.2
| SN(E/C) | 0.24
|
|
|
|
|
|
|