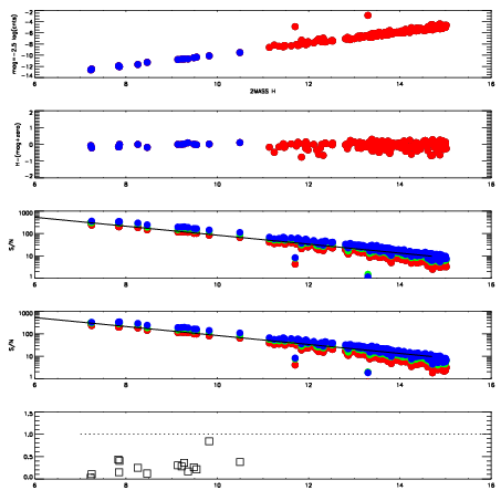
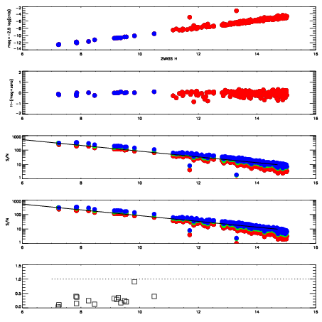
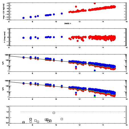
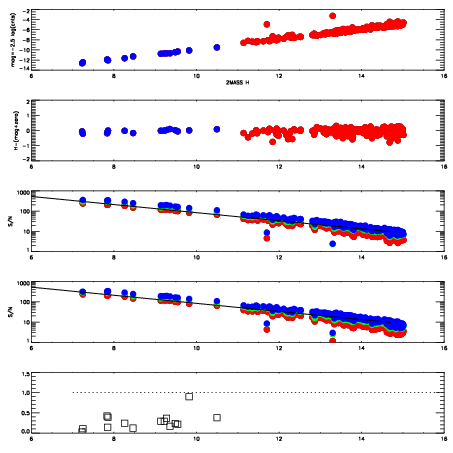
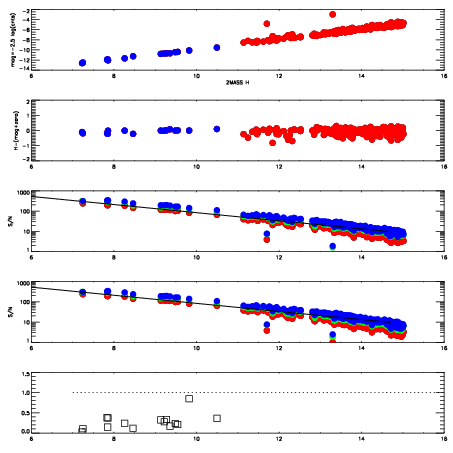
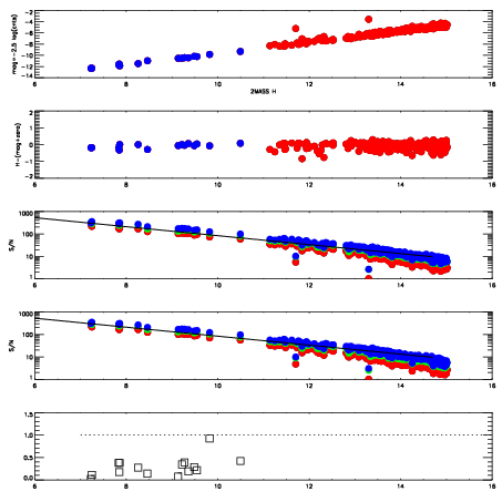
Left plots: red are targets, blue are telluric. Observed mags are calculated from median value of green chip. Zeropoint gives overall throughput: bigger number is more throughput.
First spatial plots: circles are objects, squares are tellurics, crosses are sky fibers. Colors give deviation of observed mag from expected 2MASS mag using the median zeropoint; red is brighter
Second spatial plots: circles are sky fibers. Colors give sky line brightness relative to plate median sky line brightness
FrameNreadsZeropointsMag plots Spatial mag deviation Spatial sky 16325A emission deviations (filled: sky, open: star) Spatial sky continuum emission Spatial sky telluric CO2 absorption deviations (filled: H < 10)
18850019 94
RedGreenBlue
z19.91
znorm14.98
sky 15.3 15.1 15.0
S/N 28.0 37.0 44.5
S/N(c) 30.8 38.9 40.2
SN(E/C) 0.24
18850020 94
RedGreenBlue
z19.91
znorm14.98
sky 15.3 15.3 15.2
S/N 27.4 36.6 44.1
S/N(c) 31.0 39.0 40.0
SN(E/C) 0.26
18850021 94
RedGreenBlue
z19.93
znorm14.99
sky 15.3 15.3 15.3
S/N 27.2 36.7 44.0
S/N(c) 31.5 39.2 41.0
SN(E/C) 0.24
18850022 94
RedGreenBlue
z19.91
znorm14.98
sky 15.3 15.4 15.3
S/N 26.7 36.2 43.3
S/N(c) 30.8 39.2 40.8
SN(E/C) 0.25
18850023 94
RedGreenBlue
z19.95
znorm15.02
sky 15.5 15.4 15.1
S/N 26.9 36.5 43.5
S/N(c) 31.7 39.9 42.1
SN(E/C) 0.25
18850024 94
RedGreenBlue
z19.72
znorm14.79
sky 15.4 15.3 15.1
S/N 23.8 32.8 38.6
S/N(c) 28.0 36.0 38.1
SN(E/C) 0.28