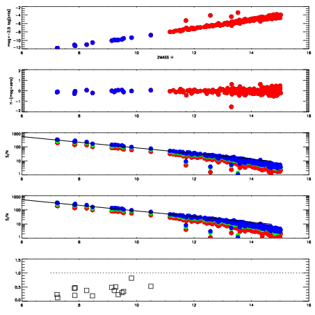
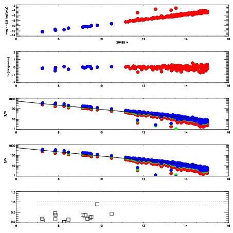
Left plots: red are targets, blue are telluric. Observed mags are calculated from median value of green chip. Zeropoint gives overall throughput: bigger number is more throughput.
First spatial plots: circles are objects, squares are tellurics, crosses are sky fibers. Colors give deviation of observed mag from expected 2MASS mag using the median zeropoint; red is brighter
Second spatial plots: circles are sky fibers. Colors give sky line brightness relative to plate median sky line brightness
FrameNreadsZeropointsMag plots Spatial mag deviation Spatial sky 16325A emission deviations (filled: sky, open: star) Spatial sky continuum emission Spatial sky telluric CO2 absorption deviations (filled: H < 10)
19090035 94
RedGreenBlue
z19.20
znorm14.26
sky 15.0 14.6 14.5
S/N 18.0 25.0 30.9
S/N(c) 22.4 32.8 12.5
SN(E/C) 0.38
19090036 94
RedGreenBlue
z19.36
znorm14.43
sky 15.0 14.7 14.6
S/N 18.9 26.5 32.4
S/N(c) 24.0 35.9 13.3
SN(E/C) 0.37
19090037 94
RedGreenBlue
z19.69
znorm14.75
sky 14.9 14.7 14.5
S/N 22.3 31.0 38.0
S/N(c) 27.8 41.6 15.5
SN(E/C) 0.28
19090038 94
RedGreenBlue
z19.61
znorm14.68
sky 15.0 14.8 14.6
S/N 21.2 29.9 36.3
S/N(c) 26.9 39.9 14.9
SN(E/C) 0.32