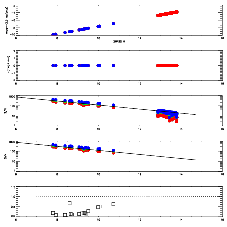
Left plots: red are targets, blue are telluric. Observed mags are calculated from median value of green chip. Zeropoint gives overall throughput: bigger number is more throughput.
First spatial plots: circles are objects, squares are tellurics, crosses are sky fibers. Colors give deviation of observed mag from expected 2MASS mag using the median zeropoint; red is brighter
Second spatial plots: circles are sky fibers. Colors give sky line brightness relative to plate median sky line brightness
FrameNreadsZeropointsMag plots Spatial mag deviation Spatial sky 16325A emission deviations (filled: sky, open: star) Spatial sky continuum emission Spatial sky telluric CO2 absorption deviations (filled: H < 10)
0 0
RedGreenBlue
z17.64
znorm Inf
sky -Inf -Inf -NaN
S/N 34.0 52.0 60.5
S/N(c) 36.4 29.4 91.3
SN(E/C) 0.17

IPAIRNAMESHIFTNEWSHIFTS/N NAMESHIFTNEWSHIFTS/N
0 18720050 0.00162444 0.00000 18.9365 18720052 -0.506827 0.508451 19.0176
1 18720049 0.000361271 0.00126317 18.9480 18720051 -0.506491 0.508115 19.0226
2 18720053 0.00134747 0.000276970 18.9261 18720048 -0.507866 0.509490 18.8660
3 18720046 0.00000 0.00162444 18.7984 18720047 -0.506688 0.508312 18.8287