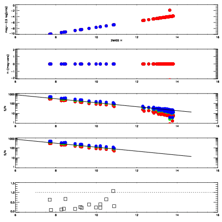
Left plots: red are targets, blue are telluric. Observed mags are calculated from median value of green chip. Zeropoint gives overall throughput: bigger number is more throughput.
First spatial plots: circles are objects, squares are tellurics, crosses are sky fibers. Colors give deviation of observed mag from expected 2MASS mag using the median zeropoint; red is brighter
Second spatial plots: circles are sky fibers. Colors give sky line brightness relative to plate median sky line brightness
FrameNreadsZeropointsMag plots Spatial mag deviation Spatial sky 16325A emission deviations (filled: sky, open: star) Spatial sky continuum emission Spatial sky telluric CO2 absorption deviations (filled: H < 10)
0 0
RedGreenBlue
z17.64
znorm Inf
sky -Inf -NaN -Inf
S/N 34.2 55.1 65.2
S/N(c) 39.1103.8 0.8
SN(E/C) 0.26

IPAIRNAMESHIFTNEWSHIFTS/N NAMESHIFTNEWSHIFTS/N
0 18850039 0.00000 0.00000 18.9672 18850041 -0.510875 0.510875 19.0011
1 18850046 -0.00106106 0.00106106 19.1127 18850045 -0.509198 0.509198 19.1014
2 18850043 -0.00372290 0.00372290 19.0680 18850044 -0.509244 0.509244 19.0412
3 18850042 -0.00401482 0.00401482 19.0104 18850040 -0.511298 0.511298 19.0364